Home
Contents

Кратко о теории чисел.

Prev Page Next Page
 
§1. Основные понятия и теоремы
Деление с остатком
Наибольший общий делитель
Взаимно простые числа
Алгоритм Евклида
Линейные диофантовы уравнения с двумя неизвестными
Простые числа и
§2. Цепные дроби
Разложение чисел в цепные дроби
Вычисление подходящих дробей
Свойства подходящих дробей
Континуанты. Анализ алгоритма Евклида
Еще кое-что о цепных дробях (приближение чисел, периодичность, теорема Эрмита)
§3. Важнейшие функции в теории чисел
Целая и дробная часть
Мультипликативные функции
Примеры мультипликативных функций
z-функция Римана
§4. Теория сравнений
Определения и простейшие свойства
Полная и приведенная системы вычетов
Теорема Эйлера и теорема Ферма
Сравнения первой степени
Сравнения любой степени по простому модулю
Сравнения любой степени по составному модулю
Сравнения второй степени. Символ Лежандра
Дальнейшие свойства символа Лежандра. Закон взаимности Гаусса
§5. Трансцендентные числа
Мера и категория на прямой
Числа Лиувилля
Число e ~= 2,718281828459045...
Число pi ~= 3,141592653589793...
Трансцендентность значений функции e в степени z
Литература

§4. Теория сравнений


Пункт 17. Полная и приведенная системы вычетов.

В предыдущем пункте было отмечено, что отношение є m сравнимости по произвольному модулю m есть отношение эквивалентности на множестве целых чисел. Это отношение эквивалентности индуцирует разбиение множества целых чисел на классы эквивалентных между собой элементов, т.е. в один класс объединяются числа, дающие при делении на m одинаковые остатки. Число классов эквивалентности є m (знатоки скажут - "индекс эквивалентности є m ") в точности равно m .

Определение. Любое число из класса эквивалентности є m будем называть вычетом по модулю m . Совокупность вычетов, взятых по одному из каждого класса эквивалентности є m , называется полной системой вычетов по модулю m (в полной системе вычетов, таким образом, всего m штук чисел). Непосредственно сами остатки при делении на m называются наименьшими неотрицательными вычетами и, конечно, образуют полную систему вычетов по модулю m . Вычет r называется абсолютно наименьшим, если пrп наименьший среди модулей вычетов данного класса.

Пример : Пусть m = 5 . Тогда:

0, 1, 2, 3, 4 - наименьшие неотрицательные вычеты;

-2, -1, 0, 1, 2 - абсолютно наименьшие вычеты.

Обе приведенные совокупности чисел образуют полные системы вычетов по модулю 5 .

Лемма 1. 1) Любые m штук попарно не сравнимых по модулю m чисел образуют полную систему вычетов по модулю m .

2) Если а и m взаимно просты, а x пробегает полную систему вычетов по модулю m , то значения линейной формы аx+b , где b - любое целое число, тоже пробегают полную систему вычетов по модулю m .

Доказательство. Утверждение 1) – очевидно. Докажем утверждение 2). Чисел аx+b ровно m штук. Покажем, что они между собой не сравнимы по модулю m . Ну пусть для некоторых различных x 1 и x 2 из полной системы вычетов оказалось, что ax 1 +b є ax 2 +b(mod m) . Тогда, по свойствам сравнений из предыдущего пункта, получаем:

ax 1 є ax 2 (mod m)

x 1 є x 2 (mod m)

– противоречие с тем, что x 1 и x 2 различны и взяты из полной системы вычетов.

Ё

Поскольку все числа из данного класса эквивалентности є получаются из одного числа данного класса прибавлением числа, кратного m , то все числа из данного класса имеют с модулем m один и тот же наибольший общий делитель. По некоторым соображениям, повышенный интерес представляют те вычеты, которые имеют с модулем m наибольший общий делитель, равный единице, т.е. вычеты, которые взаимно просты с модулем.

Определение. Приведенной системой вычетов по модулю m называется совокупность всех вычетов из полной системы, взаимно простых с модулем m .

Приведенную систему обычно выбирают из наименьших неотрицательных вычетов. Ясно, что приведенная система вычетов по модулю m содержит j ( m ) штук вычетов, где j ( m )– функция Эйлера – число чисел, меньших m и взаимно простых с m . Если к этому моменту вы уже забыли функцию Эйлера, загляните в пункт 14 и убедитесь, что про нее там кое-что говорилось.

Пример. Пусть m = 42. Тогда приведенная система вычетов суть:

1, 5, 11, 13, 17, 19, 23, 25, 29, 31, 37, 41.

Лемма 2. 1) Любые j ( m ) чисел, попарно не сравнимые по модулю m и взаимно простые с модулем, образуют приведенную систему вычетов по модулю m .

2) Если ( a,m ) = 1 и x пробегает приведенную систему вычетов по модулю m , то аx так же пробегает приведенную систему вычетов по модулю m .

Доказательство. Утверждение 1) – очевидно. Докажем утверждение 2). Числа аx попарно несравнимы (это доказывается так же, как в лемме 1 этого пункта), их ровно j ( m ) штук. Ясно также, что все они взаимно просты с модулем, ибо (a,m)=1, (x,m)=1 Ю (ax.m)=1 . Значит, числа аx образуют приведенную систему вычетов.

Ё

Таковы определения и основные свойства полной и приведенной систем вычетов, однако в багаже математических знаний существует еще целый ряд очень интересных и полезных фактов, касающихся систем вычетов. Если умолчать про них в этом пункте, то это, боюсь, будет прямым нарушением Закона Российской Федерации об Информации, злонамеренное утаивание которой является, согласно этому закону, административно и, даже, уголовно наказуемым деянием. Кроме того, без знакомства с дальнейшими важными свойствами систем вычетов пункт 17 получится весьма куцым. Продолжим.

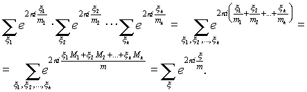
Лемма 3. Пусть m 1 , m 2 , ..., m k – попарно взаимно просты и m 1 m 2 ...m k =M 1 m 1 =M 2 m 2 =...=M k m k , где M j =m 1 ...m j-1 m j+1 ...m k

1) Если x 1 , x 2 , ..., x k пробегают полные системы вычетов по модулям m 1 , m 2 , ..., m k соответственно, то значения линейной формы M 1 x 1 +M 2 x 2 + ...+M k x k пробегают полную систему вычетов по модулю m=m 1 m 2 ...m k .

2) Если x 1 , x 2 , ..., x k пробегают приведенные системы вычетов по модулям m 1 , m 2 , ..., m k соответственно, то значения линейной формы M 1 x 1 +M 2 x 2 + ...+M k x k пробегают приведенную систему вычетов по модулю m=m 1 m 2 ...m k .

Доказательство.

1) Форма M 1 x 1 +M 2 x 2 + ...+M k x k принимает, очевидно, m 1 m 2 ...m k =m значений. Покажем, что эти значения попарно несравнимы. Ну пусть

M 1 x 1 +M 2 x 2 + ...+M k x k   є M 1 x 1 С +M 2 x 2 С + ...+M k x k С (mod m)

Всякое M j , отличное от M s , кратно m s . Убирая слева и справа в последнем сравнении слагаемые, кратные m s , получим:

M s x s   є M s x s С (mod m sЮ x s   є x s С (mod m s )

– противоречие с тем, что x s пробегает полную систему вычетов по модулю m s .

2). Форма M 1 x 1 +M 2 x 2 + ...+M k x k принимает, очевидно, j ( m 1 ) j ( m 2 ) Ч ... Ч j ( m k ) = j ( m 1 m 2 Ч ... Ч m k )= j ( m ) (функция Эйлера мультипликативна!) различных значений, которые между собой по модулю m=m 1 m 2 ...m k попарно несравнимы. Последнее легко доказывается рассуждениями, аналогичными рассуждениям, проведенным при доказательстве утверждения 1) этой леммы. Так как ( M 1 x 1 +M 2 x 2 + ...+M k x k ,m s )=(M s x s ,m s )=1 для каждого 1 Ј s Ј k , то ( M 1 x 1 +M 2 x 2 + ...+M k x k ,m s )=1 , следовательно множество значений формы M 1 x 1 +M 2 x 2 + ...+M k x k образует приведенную систему вычетов по модулю m .

Ё

Лемма 4. Пусть x 1 , x 2 , ..., x k ,x пробегают полные, а x 1 , x 2 ,..., x k , x – пробегают приведенные системы вычетов по модулям m 1 , m 2 , ..., m k и m=m 1 m 2 ...m k соответственно, где (m i m j )=1 при i j . Тогда дроби {x 1 /m 1 +x 2 /m 2 +...+x k /m k } совпадают с дробями {x/m} , а дроби { x 1 /m 1 + x 2 /m 2 +...+ x k /m k } совпадают с дробями { x /m} .

Доказательство. Доказательство обоих утверждений леммы 4 легко получается применением предыдущей леммы 3 после того, как вы приведете каждую сумму {x 1 /m 1 +x 2 /m 2 +...+x k /m k } и { x 1 /m 1 + x 2 /m 2 +...+ x k /m k } к общему знаменателю:

{x 1 /m 1 +x 2 /m 2 +...+x k /m k }={(M 1 x 1 +M 2 x 2 +...+M k x k )/m} ;

{ x 1 /m 1 + x 2 /m 2 +...+ x k /m k }={(M 1 x 1 +M 2 x 2 +...+M k x k )/m} ,

где M j =m 1 ...m j-1 m j+1 ...m k .

Если теперь принять во внимание, что дробные части чисел, получающихся при делении на модуль m любых двух чисел, сравнимых по модулю m , одинаковы (они равны r/m , где r – наименьший неотрицательный вычет из данного класса), то утверждения настоящей леммы становятся очевидными.

Ё

В оставшейся части этого пункта произойдет самое интересное – мы будем суммировать комплексные корни m -ой степени из единицы, при этом нам откроются поразительные связи между суммами корней, системами вычетов и уже знакомой мультипликативной функцией Мебиуса m ( m ) .

Обозначим через e k k -ый корень m- ой степени из единицы:

- эти формы записи комплексных чисел мы хорошо помним с первого курса. Здесь k=0,1,...,m-1 – пробегает полную систему вычетов по модулю m .

Напомню, что сумма e 0 + e 1 +...+ e m-1 всех корней m -ой степени из единицы равна нулю для любого m . Действительно, пусть e 0 + e 1 +...+ e m-1 =a . Умножим эту сумму на ненулевое число e 1 . Такое умножение геометрически в комплексной плоскости означает поворот правильного m -угольника, в вершинах которого расположены корни e 0 , e 1 ,..., e m-1 , на ненулевой угол 2 p /m . Ясно, что при этом корень e 0 перейдет в корень e 1 , корень e 1 перейдет в корень e 2 , и т.д., а корень e m-1 перейдет в корень e 0 , т.е. сумма e 0 + e 1 +...+ e m-1 не изменится. Имеем e 1 a=a , откуда a=0 .

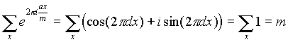
Теорема 1. Пусть m>0 - целое число, a О Z , x пробегает полную систему вычетов по модулю m . Тогда, если а кратно m , то

в противном случае, при а не кратном m ,

.

Доказательство. При а кратном m имеем: a=md и

.

При а не делящемся на m , разделим числитель и знаменатель дроби a/m на d – наибольший общий делитель а и m , получим несократимую дробь a 1 /m 1 . Тогда, по лемме 1, a 1 x будет пробегать полную систему вычетов по модулю m . Имеем:

ибо сумма всех корней степени m 1 из единицы равна нулю.

Ё

Напомню, что корень e k m -ой степени из единицы называется первообразным, если его индекс k взаимно прост с m . В этом случае, как доказывалось на первом курсе, последовательные степени e k 1 , e k 2 ,..., e k m-1 корня e k образуют всю совокупность корней m -ой степени из единицы или, другими словами, e k является порождающим элементом циклической группы всех корней m -ой степени из единицы.

Очевидно, что число различных первообразных корней m -ой степени из единицы равно j ( m ), где j – функция Эйлера, так как индексы у первообразных корней образуют приведенную систему вычетов по модулю m .

Теорема 2. Пусть m>0 – целое число, x пробегает приведенную систему вычетов по модулю m . Тогда (сумма первообразных корней степени m ):

где m ( m ) – функция Мебиуса.

Доказательство. Пусть m=p 1 a 1 p 2 a 2 ...p k a k – каноническое разложение числа m ; m 1 =p 1 a 1 , m 2 =p 2 a 2 , m 3 =p 3 a 3 ; x i пробегает приведенную систему вычетов по модулю m i . Имеем:

При a s =1 получается, что только корень e 0 =1 не является первообразным, поэтому сумма всех первообразных корней есть сумма всех корней минус единица:

стало быть, если m свободно от квадратов (т.е. не делится на r 2 , при r >1 ), то

Если же какой-нибудь показатель a s больше единицы (т.е. m делится на r 2 , при r>1 ), то сумма всех первообразных корней степени m s есть сумма всех корней степени m s минус сумма всех не первообразных корней, т.е. всех корней некоторой степени, меньшей m s . Именно, если m s =p s m s * , то:

Ё

Вот теперь, дорогие читатели, когда я представил на ваше рассмотрение довольно весьма значительное количество сведений про полные и приведенные системы вычетов, никто не сможет обвинить меня в злонамеренном нарушении Закона Российской Федерации об Информации посредством ее утаивания, поэтому я заканчиваю этот пункт с удовлетворением.

Задачки

1 . Выпишите на листочке все наименьшие неотрицательные вычеты и все абсолютно наименьшие вычеты

а) по модулю 6 ,

б) по модулю 8 .

Чуть ниже выпишите приведенные системы вычетов по этим модулям. Нарисуйте отдельно на комплексной плоскости корни шестой и корни восьмой степени из единицы, на обоих рисунках обведите кружочком первообразные корни и найдите в каждом случае их сумму.

2 . Пусть e – первообразный корень степени 2n из единицы.

Найдите сумму: 1+ e + e 2 +...+ e n-1 .

3 . Найдите сумму всех первообразных корней: а) 15-й; б) 24-й; в) 30-й степени из единицы.

4 . Найдите сумму всевозможных произведений первообразных корней n -ой степени из единицы, взятых по два.

5 . Найдите сумму k -х степеней всех корней n -ой степени из единицы.

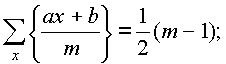
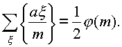
6 . Пусть m>1 , (a, m)=1 , b – целое число, х пробегает полную, а x – приведенную систему вычетов по модулю m . Докажите, что:

а)

б)

7 . Докажите, что:

,

где р пробегает все простые делители числа а .

Hosted by uCoz