Home
Contents

Кратко о теории чисел.

Prev Page Next Page
 
§1. Основные понятия и теоремы
Деление с остатком
Наибольший общий делитель
Взаимно простые числа
Алгоритм Евклида
Линейные диофантовы уравнения с двумя неизвестными
Простые числа и
§2. Цепные дроби
Разложение чисел в цепные дроби
Вычисление подходящих дробей
Свойства подходящих дробей
Континуанты. Анализ алгоритма Евклида
Еще кое-что о цепных дробях (приближение чисел, периодичность, теорема Эрмита)
§3. Важнейшие функции в теории чисел
Целая и дробная часть
Мультипликативные функции
Примеры мультипликативных функций
z-функция Римана
§4. Теория сравнений
Определения и простейшие свойства
Полная и приведенная системы вычетов
Теорема Эйлера и теорема Ферма
Сравнения первой степени
Сравнения любой степени по простому модулю
Сравнения любой степени по составному модулю
Сравнения второй степени. Символ Лежандра
Дальнейшие свойства символа Лежандра. Закон взаимности Гаусса
§5. Трансцендентные числа
Мера и категория на прямой
Числа Лиувилля
Число e ~= 2,718281828459045...
Число pi ~= 3,141592653589793...
Трансцендентность значений функции e в степени z
Литература

§4. Теория сравнений


Вступление к следующим трем пунктам.

В следующих трех довольно скучноватых пунктах мы с вами будем рассматривать и учиться решать сравнения с одним неизвестным вида:

f(x) є 0(mod m) ,

где f(x)=a 0 x n +a 1 x n-1 +...+a n-1 x+a n – многочлен с целыми коэффициентами. Если m не делит a 0 , то говорят, что n – степень сравнения. Ясно, что если какое-нибудь число х подходит в сравнение, то в это же сравнение подойдет и любое другое число, сравнимое с х по mod m . Запомните хорошенько (спрошу на экзамене!):

Решить сравнение – значит найти все те х , которые удовлетворяют данному сравнению, при этом весь класс чисел по mod m считается за одно решение.

Таким образом, число решений сравнения есть число вычетов из полной системы, которые этому сравнению удовлетворяют.

Пример. Дано сравнение: x 5 +x+1 є 0(mod 7)

Из чисел: 0, 1, 2, 3, 4, 5, 6, этому сравнению удовлетворяют два: x 1 =2, x 2 =4. Это означает, что у данного сравнения два решения:

x є 2(mod 7) и x є 4(mod 7) .

Сравнения называются равносильными, если они имеют одинаковые решения – полная аналогия с понятием равносильности уравнений. Однако (забегая вперед, открою приятный секрет), в отличие от алгебраических уравнений, которые частенько неразрешимы в радикалах, сравнение любой степени всегда решается, хотя бы, например, перебором всех вычетов по mod m . Правда, перебор и подстановка всех вычетов - зачастую весьма долгий процесс (особенно, при больших m и n ), но и здесь математики придумали хитроумные наборы инструкций, исполняя которые можно всегда найти все решения данного сравнения любой степени, минуя нудный процесс перебора.

Пункт 19. Сравнения первой степени.

В этом пункте детально рассмотрим только сравнения первой степени вида

ax є b(mod m),

оставив более высокие степени на съедение следующим пунктам. Как решать такое сравнение? Рассмотрим два случая.

Случай 1. Пусть а и m взаимно просты. Тогда несократимая дробь m/a сама просится разложиться в цепную дробь:

Эта цепная дробь, разумеется, конечна, так как m/a - рациональное число. Рассмотрим две ее последние подходящие дроби:

.

Вспоминаем (пункт 9) важное свойство числителей и знаменателей подходящих дробей: mQ n-1 -aP n-1 =(-1) n . Далее (слагаемое mQ n-1 , кратное m , можно выкинуть из левой части сравнения):

-aP n-1 є (-1) n (mod m) т.е.

aP n-1 є (-1) n-1 (mod m) т.е.

a[(-1) n-1 P n-1 b] є b(mod m)

и единственное решение исходного сравнения есть:

x є (-1) n-1 P n-1 b(mod m)

Ё

Пример. Решить сравнение 111x є 75(mod 322).

Решение. (111, 322)=1. Включаем алгоритм Евклида:

322=11 · 2+100

111=100 · 1+11

100=11 · 9+1

11=1 · 11

(В равенствах подчеркнуты неполные частные.) Значит, n=4 , а соответствующая цепная дробь такова:

Посчитаем числители подходящих дробей, составив для этого стандартную таблицу:

  0 2 1 9 11
P n 1 2 3 29 322

Числитель предпоследней подходящей дроби равен 29, следовательно, готовая формула дает ответ: x є (-1) 3 Ч 29 Ч 75 є -2175 є 79(mod 322)

Ё

Ох уж эти мне теоретико-числовые рассуждения из разных учебников, продиктованные традицией изложения и необходимостью обязательно использовать ранее изложенную теорию! О чем идет речь в нескольких строках выше? Дано сравнение ax є b(mod m) , где a и m взаимно просты. Ну возьмите вы алгоритм Евклида, найдите те самые пресловутые u , v О Z такие, что au+vm=1 , умножьте это равенство на b : aub+vmb=b , откуда немедленно следует: aub є b(mod m) . Значит решением исходного сравнения является x є ub(mod m) . Собственно, и все. Поворчал.

Случай 2. Пусть (a,m)=d . В этом случае, для разрешимости сравнения ax є b(mod m) необходимо, чтобы d делило b , иначе сравнение вообще выполняться не может. Действительно, ax є b(mod m) бывает тогда, и только тогда, когда ax- b делится на m нацело, т.е. ax- b=t · m ,

t О Z , откуда b=ax- t Ч m , а правая часть последнего равенства кратна d .

Пусть b=db 1 , a=da 1 , m=dm 1 . Тогда обе части сравнения xa 1 d є b 1 d(mod m 1 d) и его модуль поделим на d :

xa 1 є b 1 (mod m 1 ) ,

где уже а 1 и m 1 взаимно просты. Согласно случаю 1 этого пункта, такое сравнение имеет единственное решение x 0 :

x є x 0 (mod m 1 )           (*)

По исходному модулю m , числа (*) образуют столько решений исходного сравнения, сколько чисел вида (*) содержится в полной системе вычетов: 0,1,2,..., m-2, m-1 . Очевидно, что из чисел x=x 0 +t Ч m в полную систему наименьших неотрицательных вычетов попадают только x 0 , x 0 +m 1 , x 0 +2m 1 , ..., x 0 +(d-1)m 1 , т.е. всего d чисел. Значит у исходного сравнения имеется d решений.

Подведем итог рассмотренных случаев в виде следующей теоремы

Теорема 1. Пусть (a,m)=d . Если b не делится на d , сравнение ax є b(mod m) не имеет решений. Если b кратно d , сравнение ax є b(mod m) имеет d штук решений.

Пример. Решить сравнение 111x є 75(mod 321) .

Решение. (111,321)=3 , поэтому поделим сравнение и его модуль на 3:

37x є 25(mod 107) и уже (37,107)=1 .

Включаем алгоритм Евклида (как обычно, подчеркнуты неполные частные):

107=37 Ч 2+33

37=33 Ч 1+4

33=4 Ч 8+1

4=1 Ч 4

Имеем n=4 и цепная дробь такова:

Таблица для нахождения числителей подходящих дробей:

q n 0 2 1 8 4
P n 1 2 3 26 107

Значит, x є (-1) 3 Ч 26 Ч 25 є -650(mod 107) є -8(mod 107) є 99(mod 107) .

Три решения исходного сравнения:

x є 99(mod 321), x є 206(mod 321), x є 313(mod 321) ,

и других решений нет.

Ё

А теперь я расскажу вам одну поучительную историю. Шли по российской дороге два мальчика. Один из них засмотрелся, упал ножками в открытый канализационный люк и, (О, боже!) – сломал ручку. Второй мальчик оказался хорошим товарищем – он вытащил упавшего мальчика, вытер его, подарил ему новую шариковую ручку и сказал: " Это тебя само провидение наказало за то, что ты всегда решал сравнения первой степени только одним способом. В следующий раз поступай осмотрительнее, – выбирай наилучшую дорогу".

Давайте и мы, чтобы не оказаться в неприятном виде перед своими товарищами, рассмотрим пару других способов решения сравнений первой степени. Эти способы излагаются дальше в виде теорем.

Теорема 2. Пусть m>1, (a,m)=1 Тогда сравнение ax є b(mod m) имеет решение: x є ba j (m)-1 (mod m) .

Доказательство. По теореме Эйлера, имеем: a j (m) є 1(mod m) , следовательно, a Ч ba j (m)-1 є b(mod m) .

Ё

Пример. Решить сравнение 7x є 3(mod 10) . Вычисляем:

j (10)=4; x є 3 Ч 7 4-1 (mod 10) є 1029(mod 10) є 9(mod 10) .

Видно, что этот способ решения сравнений хорош (в смысле минимума интеллектуальных затрат на его осуществление), но может потребовать возведения числа а в довольно большую степень, что довольно трудоемко. Для того, чтобы как следует это прочувствовать, возведите самостоятельно число 24789 в степень 46728.

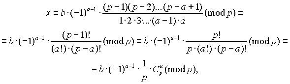
Теорема 3. Пусть р – простое число, 0<a<p . Тогда сравнение ax є b(mod p) имеет решение:

где C a p – биномиальный коэффициент.

Доказательство непосредственно следует из очевидного сравнения

которое нужно почленно поделить на взаимно простое с модулем число 1 Ч 2 Ч 3 Ч ... Ч a-1 .

Ё

Пример. Решить сравнение 7x є 2(mod 11) . Вычисляем:

На этом пункт 19 можно было бы и закончить, но невозможно, говоря о решении сравнений первой степени, обойти стороной вопрос о решении систем сравнений первой степени. Дело в том, что умение решать простейшие системы сравнений не только является неотъемлемой частью общечеловеческой культуры, позволяющей гражданину не падать в ямы, расщелины и открытые люки. Такое умение, кроме всего прочего, пригодится нам при изучении сравнений произвольной степени, о которых пойдет речь в следующих пунктах.

Лемма 1 (Китайская теорема об остатках). Пусть дана простейшая система сравнений первой степени:

где m 1 ,m 2 ,...,m k попарно взаимно просты. Пусть, далее, m 1 m 2 ...m k =M s m s ; M s M s С є 1(mod m s ) (Очевидно, что такое число M s С всегда можно подобрать хотя бы с помощью алгоритма Евклида, т.к. (m s ,M s )=1 ); x 0 =M 1 M 1 С b 1 +M 2 M 2 С b 2 +...+M k M k С b k . Тогда система (*) равносильна одному сравнению

x є x 0 (mod m 1 m 2 ...m k ) ,

т.е. набор решений (*) совпадает с набором решений сравнения x є x 0 (mod m 1 m 2 ...m k ) .

Доказательство. Имеем: m s делит M j , при s j. Следовательно, x 0 є M s M s С b s (mod m s ) , откуда x 0 є b s (mod m s ) . Это означает, что система (*) равносильна системе

которая, очевидно, в свою очередь, равносильна одному сравнению x є x 0 (mod m 1 m 2 ...m k ) .

Ё

Пример. Однажды средний товарищ подошел к умному товарищу и попросил его найти число, которое при делении на 4 дает в остатке 1, при делении на 5 дает в остатке 3, а при делении на 7 дает в остатке 2. Сам средний товарищ искал такое число уже две недели. Умный товарищ тут же составил систему:

которую начал решать, пользуясь леммой 1. Вот его решение:

b 1 =1 ; b 2 =3 ; b 3 =2 ; m 1 m 2 m 3 , т.е. M 1 =35, M 2 =28, M 3 =20 .

Далее он нашел:

35 Ч 3 є 1(mod 4)
28 Ч 2 є 1(mod 5)
20 Ч 6 є 1(mod 7)

т.е. M 1 С =3, M 2 С =2, M 3 С =6. Значит x 0 =35 Ч 3 Ч 1+28 Ч 2 Ч 3+20 Ч 6 Ч 2=513. После этого, по лемме 1, умный товарищ сразу получил ответ:

x є 513(mod 140) є 93(mod 140),

т.е. наименьшее положительное число, которое две недели искал средний товарищ, равно 93. Так умный товарищ в очередной раз помог среднему товарищу.

В следующей лемме, для краткости формулировки, сохранены обозначения леммы 1.

Лемма 2. Если b 1 ,b 2 ,...,b k пробегают полные системы вычетов по модулям m 1 ,m 2 ,...,m k соответственно, то x 0 пробегает полную систему вычетов по модулю m 1 m 2 ...m k .

Доказательство. Действительно, x 0 =A 1 b 1 +A 2 b 2 +...+A k b k пробегает m 1 m 2 ...m k различных значений. Покажем, что все они попарно не сравнимы по модулю m 1 m 2 ...m k .

Ну пусть оказалось, что

A 1 b 1 +A 2 b 2 +...+A k b k є A 1 b' 1 +A 2 b' 2 +...+A k b' k (mod m 1 m 2 ...m k ) .

Значит,

A 1 b 1 +A 2 b 2 +...+A k b k є A 1 b' 1 +A 2 b' 2 +...+A k b' k (mod m s )

для каждого s , откуда

M s M s С b s є M s M s С b' s

Вспомним теперь, что M s M s С є 1(mod m s ) , значит M s M s С є 1+m s Ч t , откуда (M s M s С ,m s )=1 . Разделив теперь обе части сравнения

M s M s С b s є M s M s С b' s

на число M s M s С , взаимно простое с модулем, получим, что b s є b' s (mod m s ) , т.е. b s =b' s для каждого s .

Итак, x 0 пробегает m 1 m 2 ...m k различных значений, попарно не сравнимых по модулю m 1 m 2 ...m k , т.е. полную систему вычетов.

Ё

Вот теперь пункт 19 с чистой совестью закончим.

Задачки

1. Reshite sravneniя:

а) 5x є 3(mod 12);

б) 256x є 179(mod 337);

в) 1215x є 560(mod 2755);

г) 1296x є 1105(mod 2413);

д) 115x є 85(mod 335).

2 . Применив исконно русскую хитринку, решите систему сравнений

3 . Найдите все целые числа, которые при делении на 7 дают в остатке 3, при делении на 11 дают в остатке 5, а при делении на 13 дают в остатке 4 .

4 . Решите систему сравнений

5 . Пусть (m 1 ,m 2 )=d

Докажите, что система сравнений

имеет решения тогда и только тогда, когда b 1 є b 2 (mod d) . В случае, когда система разрешима, найдите ее решения .

6 . Решите систему сравнений

7 . Пусть (a,m)=1 , 1<a<m . Докажите, что разыскание решения сравнения ax є b(mod m) может быть сведено к разысканию решений сравнений вида b+mt є 0(mod p) , где р  – простой делитель числа а .

Hosted by uCoz