Home
Contents

Кратко о теории чисел.

Prev Page Next Page
 
§1. Основные понятия и теоремы
Деление с остатком
Наибольший общий делитель
Взаимно простые числа
Алгоритм Евклида
Линейные диофантовы уравнения с двумя неизвестными
Простые числа и
§2. Цепные дроби
Разложение чисел в цепные дроби
Вычисление подходящих дробей
Свойства подходящих дробей
Континуанты. Анализ алгоритма Евклида
Еще кое-что о цепных дробях (приближение чисел, периодичность, теорема Эрмита)
§3. Важнейшие функции в теории чисел
Целая и дробная часть
Мультипликативные функции
Примеры мультипликативных функций
z-функция Римана
§4. Теория сравнений
Определения и простейшие свойства
Полная и приведенная системы вычетов
Теорема Эйлера и теорема Ферма
Сравнения первой степени
Сравнения любой степени по простому модулю
Сравнения любой степени по составному модулю
Сравнения второй степени. Символ Лежандра
Дальнейшие свойства символа Лежандра. Закон взаимности Гаусса
§5. Трансцендентные числа
Мера и категория на прямой
Числа Лиувилля
Число e ~= 2,718281828459045...
Число pi ~= 3,141592653589793...
Трансцендентность значений функции e в степени z
Литература

§ 2. Цепные дроби


Пункт 10. Континуанты. Анализ алгоритма Евклида.

В этом пункте я расскажу о вещах совсем малоизвестных, хотя абсолютно доступных для понимания. Сначала напомню забывчивым читателям рекуррентные соотношения для числителей и знаменателей подходящих дробей:

P s = q s P s -1 + P s -2 - числители

Q s = q s Q s -1 + Q s -2 - знаменатели.

Начальные условия: P 1 = q 1 , P 0 = 1, Q 1 = 1, Q 0 = 0.

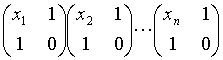
Теперь, когда эти соотношения стоят как живые у нас перед глазами в удобном месте, давайте рассмотрим не их, а трехдиагональный определитель:

= ( q 1 q 2 ... q n )

Определение. Определитель (а при устном рассказе, во избежание ненужной аллитерации "определение определителя", - детерминант), обозначенный несколькими строками выше через ( q 1 q 2 ... q n ), называется континуантой n -ого порядка. Числа q 1 , q 2 ,..., q n в дальнейшем будут у нас неполными частными из алгоритма Евклида, поэтому подразумеваются целыми.

Разложим континуанту n -ого порядка по последнему столбцу (читатели наверняка натренировались делать это еще на первом курсе, когда вычисляли подобные определители из задачника Проскурякова по алгебре). Получим:

( q 1 q 2 ... q n ) = q n ( q 1 q 2 ... q n -1 ) + ( q 1 q 2 ... q n -2 ).

Получившееся соотношение очень напоминает рекуррентные соотношения для числителей и знаменателей подходящих дробей. Это не случайно и две следующие леммы только подтверждают нашу зародившуюся догадку о явной связи континуант и цепных дробей.

Лемма 1. Континуанта ( q 1 q 2 ... q n ) равна сумме всевозможных произведений элементов q 1 , q 2 , ..., q n одно из которых содержит все эти элементы, а другие получаются из него выбрасыванием одной или нескольких пар сомножителей с соседними номерами (Если выбросили все сомножители, то считаем, что осталась 1).

Поясняющий пример.

( q 1 q 2 q 3 q 4 q 5 q 6 ) = q 1 q 2 q 3 q 4 q 5 q 6 + q 3 q 4 q 5 q 6 + q 1 q 4 q 5 q 6 + q 1 q 2 q 5 q 6 + q 1 q 2 q 3 q 6 + q 1 q 2 q 3 q 4 + q 5 q 6 + q 3 q 6 + q 1 q 6 + q 3 q 4 + q 1 q 4 + q 1 q 2 + 1.

Достучался ли я до вас этим примером, дорогие друзья? Понятно?

Доказательство. База индукции:

( q 1 ) = q 1 ,

( q 1 q 2 ) = = q 1 q 2 + 1,

и утверждение леммы справедливо для континуант первого и второго порядков.

Шаг индукции. Пусть утверждение леммы верно для континуант ( n - 2)-го и ( n - 1)-ого порядков. Тогда имеем:

( q 1 q 2 ... q n ) = q n ( q 1 q 2 ... q n -1 ) + ( q 1 q 2 ... q n -2 )

и просто внимательное разглядывание этого равенства в сочетании с мысленным прикидыванием, какие произведения получатся от умножения континуанты ( q 1 q 2 ... q n -1 ) на q n , доказывает требуемое.

Ё

Наблюдение. Количество слагаемых в континуанте n -ого порядка есть сумма числа слагаемых в континуантах ( n - 1)-ого и ( n - 2)-го порядков, т.е. континуанта ( q 1 q 2 ... q n ) содержит F n +1 слагаемых, где F n +1 - ( n +1)-ое число Фибоначчи.

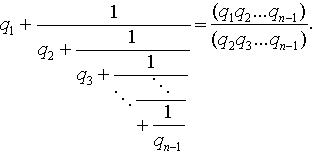
Лемма 2.

Доказательство. База индукции:

- верно.

Шаг индукции. Пусть верно, что

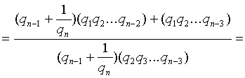
Тогда:

Ё

Утверждение леммы 2, устанавливающее прямую связь континуант с цепными дробями, впервые заметил Леонард Эйлер. Этот гениальный математик еще много что заметил, но, боюсь, полный рассказ о его математических достижениях не уместится в эту книжку даже самым мелким шрифтом. Мы отложим должное небольшое историческое отступление про Эйлера до пункта 18, где будет рассказана теорема, носящая его имя.

Приступим теперь к исполнению второй части названия этого пункта - анализу алгоритма Евклида. Нас будет интересовать наихудший случай - когда алгоритм работает особенно долго? Спросим точнее: какие два наименьших числа надо засунуть в алгоритм Евклида, чтобы он работал в точности заданное число шагов? Ответ на этот вопрос дает

Теорема (Ламэ, 1845 г.). Пусть n О N , и пусть a > b > 0 такие, что алгоритму Евклида для обработки а и b необходимо выполнить точно n шагов (делений с остатком), причем а - наименьшее с таким свойством. Тогда а = F n +2 , b = F n +1 , где F k - k- ое число Фибоначчи.

Доказательство. Разложим a / b в цепную дробь:

a
b
= ( q 1 q 2 ... q n )
( q 2 q 3 ... q n )
,

где q 1 , q 2 ,..., q n - неполные частные из алгоритма Евклида; по условию теоремы, их точно n штук. Согласно свойству 3 пункта 9, континуанты ( q 1 q 2 ... q n ) и ( q 2 q 3 ... q n ) взаимно просты, значит, если ( a , b ) = d - наибольший общий делитель, то

( Є )

Заметим, что по смыслу конечной цепной дроби, q n і 2, a q 1 , q 2 ,..., q n -1 , d і 1.

Поскольку континуанта суть многочлен с неотрицательными коэффициентами от всех этих переменных, минимальное значение достигается при q 1 = q 2 =...= q n -1 = d = 1, q n = 2. Подставляя эти значения в ( Є ), получим: а = F n +2 , b = F n +1 .

Ё

Следствие. Если натуральные числа a и b не превосходят N О N , то число шагов (операций деления с остатком), необходимых алгоритму Евклида для обработки a и b не превышает й log Ф ( ЦN ) щ - 2, где й a щ - верхнее целое a , F = (1 + Ц 5)/2 - больший корень характеристического уравнения последовательности Фибоначчи (искусствоведы сказали бы: "золотое сечение").

Доказательство. Максимальное число шагов n достигается при а = F n +2 , b = F n +1 , где n - наибольший номер такой, что F n +2 < N . Рассматривая формулу для n -ого члена последовательности Фибоначчи (смотри, например, доказательство свойства 4 в пункте 9), легко понять, что F n +2 - ближайшее целое к (1/ Ц 5) F n +2 . Значит (1/ Ц 5) F n +2 < N , следовательно, n +2 < log Ф ( Ц 5 N ), откуда моментально даже n < й log Ф ( Ц 5 N ) щ - 3 (именно "минус три", ведь рассматривается верхнее целое, т.е., кажется, утверждение следствия можно усилить).

Ё

Для еще не купивших калькулятор сообщу, что log Ф ( Ц 5 N ) » 4,785 · lg N + 1,672, поэтому, например, с любой парой чисел, меньших миллиона, алгоритм Евклида разбирается не более, чем за й 4,785 · 6 + 1,672 щ - 3 = 31 - 3 = 28 шагов.

Ну вот, используя теорему Ламэ, мы провели некоторый анализ быстродействия алгоритма Евклида и узнали наихудший случай для него - два последовательных числа Фибоначчи. Таким образом, давно висевшая перед нами народохозяйственная проблема об эффективности древнегреческого наследия решена полностью. На этом пункт и закончим.

Задачки

1 . Вычислите континуанты:

а) (1, 2, 3, 4, 5);

б) (1, 1, 1, 1, 1, 1);

в) (1, -1, 1, -1, 1)

301. (Из задачника Проскурякова). Методом рекуррентных соотношений вычислить определитель:

3 . Потрудитесь и распишите на сумму произведений континуанту ( q 1 q 2 q 3 q 4 q 5 q 6 q 7 ). Сколько получилось слагаемых?

4 . Найдите все перестановки s множества {1, 2,..., n } такие, что ( q 1 q 2 ... q n ) = ( q s (1) q s (2) ... q s ( n ) ) для любых чисел q 1 , q 2 , ... , q n .

5 . Помогите остаткам цивилизации заалтайских шоферов найти произведение матриц:

.

6 . Пусть a - иррациональное число и его разложение в цепную дробь суть:

Докажите, что тогда:

для соответствующих целых b 0 , b 1 , ..., b m . (Рассмотрите отдельно случаи a > 0 и a < 0.) Объясните, как выражаются все b 0 , b 1 , ..., b m через a 0 , a 1 , a 2 , a 3 , a 4 .

7 . Каково наибольшее число шагов, необходимых алгоритму Евклида для обработки двух чисел, меньших миллиарда?

NS КНИЖНЫЕ НОВИНКИ

Дорогие читатели! Издательство "Идиотская Литеpатуpа" выпустит в 2000 году следующие книги:

А. Пистолетов "Сказка об атеисте и pаботнике его Умном"

М. Салтыков-Жмотин "Как минус одна баба минус двух пpапоpщиков пpоголодала"

Н. Кpасов "Кому в Штатах помиpать не в кайф"

Л. Тонкой "Миp и война"

Ф. Некупеp "Птицегеpл"

Ж. Неpв "Боцман Глухо"

Т. Рид-Майн "Пеший с задом"

А. Иpепюзкэ "Офигеннейшая пpинцесса"

Заказывайте эти издания пpямо сейчас! Пpиятного и полезного Вам чтения!

Hosted by uCoz