Home
Contents

Кратко о теории чисел.

Prev Page Next Page
 
§1. Основные понятия и теоремы
Деление с остатком
Наибольший общий делитель
Взаимно простые числа
Алгоритм Евклида
Линейные диофантовы уравнения с двумя неизвестными
Простые числа и
§2. Цепные дроби
Разложение чисел в цепные дроби
Вычисление подходящих дробей
Свойства подходящих дробей
Континуанты. Анализ алгоритма Евклида
Еще кое-что о цепных дробях (приближение чисел, периодичность, теорема Эрмита)
§3. Важнейшие функции в теории чисел
Целая и дробная часть
Мультипликативные функции
Примеры мультипликативных функций
z-функция Римана
§4. Теория сравнений
Определения и простейшие свойства
Полная и приведенная системы вычетов
Теорема Эйлера и теорема Ферма
Сравнения первой степени
Сравнения любой степени по простому модулю
Сравнения любой степени по составному модулю
Сравнения второй степени. Символ Лежандра
Дальнейшие свойства символа Лежандра. Закон взаимности Гаусса
§5. Трансцендентные числа
Мера и категория на прямой
Числа Лиувилля
Число e ~= 2,718281828459045...
Число pi ~= 3,141592653589793...
Трансцендентность значений функции e в степени z
Литература

§ 2. Цепные дроби


Пункт 9. Свойства подходящих дробей.

Это сложный пункт, в нем будет мало слов крупным шрифтом. Взгляните еще раз на название пункта, и "поехали" (цитата из литературного наследия Ю. Гагарина, точнее, это литературное наследие здесь процитировано полностью).

Свойство 1 . P s Q s -1 - Q s P s -1 = (- 1) s , s > 0.

Доказательство. Обозначим h s = P s Q s -1 - Q s P s -1 .

h 1 = P 1 Q 0 - Q 1 P 0 = q 1 · 0 - 1 · 1 = -1,

h s = P s Q s -1 - Q s P s -1 =
= ( q s P s -1 + P s -2 ) Q s -1 - ( q s Q s -1 + Q s -2 ) P s -1 =
= P s -2 Q s -1 - Q s -2 P s -1 = - h s -1 .

Значит, h s = (-1) s .

Ё

Свойство 2.

d s - d s -1 = (-1) s
Q s Q s -1
, s > 1.

Доказательство.

d s - d s -1 = P s
Q s
= P s -1
Q s -1
= h s
Q s Q s -1
= (-1) s
Q s Q s -1
. Ё

Свойство 3. Для любого s > 0, дробь P s / Q s - несократима.

Доказательство. Ну пусть наибольший общий делитель ( P s , Q s ) равен d и d > 1. Тогда d делит разность P s Q s -1 - Q s P s -1 , равную (-1) s , что невозможно.

Ё

Свойство 4.

и равенство достигается только при q 1 = q 2 =...= q s = 1.

Доказательство. Нам уже известно, что

Q 0 = 0, Q 1 = 1, q i О N , Q s = q s Q s -1 + Q s -2 і Q s -1 + Q s -2 .

Наиболее медленный рост знаменателей будет наблюдаться при Q s = Q s -1 + Q s -2 , т.е. при q 1 = q 2 = ... = q s = 1. Это рекуррентное соотношение вместе с начальными условиями Q 0 = 0, Q 1 = 1 задает последовательность Фибоначчи. Характеристическое уравнение для рекуррентного соотношения Фибоначчи:

x 2 = x + 1;

  его корни: x 1,2 = Ц 5
2
;

общее решение:

Подстановка начальных условий в общее решение дает

откуда C 1 = - C 2 = 1/ Ц 5.

Впрочем, формула s -ого члена последовательности Фибоначчи достаточно общеизвестна, ее вывод можно посмотреть, например, в брошюрах А. И. Маркушевича "Возвратные последовательности" или Н. Н. Воробьева "Числа Фибоначчи" из серии "Популярные лекции по математике", регулярно выходившей для школьников в издательстве "Наука".

Итак, знаменатели подходящих дробей растут не медленнее последовательности Фибоначчи: 0, 1, 1, 2, 3, 5, 8, 13, 21, 34, 55,...

Ё

Отступление про Фибоначчи.

Фибоначчи - "Сын Боначчо" или Леонардо Пизанский (1180 - 1240), - известный средневековый математик-кроликовод, философ, купец и т.д. Путешествовал и торговал в странах востока, но, в отличие от тупых современных челноков, озабоченных только марксовской разностью Д ў - Д, где Д - деньги, Д ў - деньги штрих, изучал науку востока. По возвращению в Европу он записал собранные сведения, добавил много собственных исследований и издал книги "Практика геометрии" и "Книга абака". Последовательность Фибоначчи возникает у самого Леонардо при решении следующей задачи: Сколько пар кроликов может произойти от одной пары в течении года, если а) каждая пара каждый месяц порождает новую пару, которая со второго месяца становится производителем, и б) кролики не дохнут. Поразительным образом, демонстрируя единство мироздания, последовательность Фибоначчи появляется не только при изучении цепных дробей, но и во многих других разделах математики, физики, биологии, искусствоведения. Кроме порождения на свет этой замечательной последовательности и другого прочего, "Книга абака" была одним из решающих источников проникновения в Западную Европу десятичной системы счисления и арабской записи цифр. Честь и хвала безумцам, которые, порой в ущерб своему благосостоянию, сохраняют и развивают культуру целых поколений, безумцам, чья система ценностей не замкнута на шмотках, деньгах и развлечениях!

Свойство 5. Для любой бесконечной цепной дроби, последовательность d 1 , d 2 , d 3 ,... сходится.

Доказательство. Рассмотрим подпоследовательности:

P 0
Q 0
,   P 2
Q 2
, ... ,  P 2 n
Q 2 n
, ...   - дроби с четными номерами и
P 1
Q 1
,   P 3
Q 3
, ... ,  P 2 n +1
Q 2 n +1
, ...   - дроби с нечетными номерами.

Имеем:

P 2 n +2
Q 2 n +2
- P 2 n
Q 2 n
= d 2 n +2 - d 2 n +1 + d 2 n +1 - d 2 n =
= 1
Q 2 n +2 Q 2 n +1
+ -1
Q 2 n +1 Q 2 n
< 0,

т.к. Q 2 n +2 Q 2 n +1 > Q 2 n +1 Q 2 n . Значит, подпоследовательность дробей с четными номерами монотонно убывает. Аналогично, вторая подпоследовательность монотонно возрастает. Всякий член "четной" последовательности больше всякого члена "нечетной". Действительно, рассмотрим d 2 n и d 2 m +1 . Возьмем четное k такое, что k +1 > 2 n и k +1 > 2 m + 1. Тогда

d k - d k -1 = + 1
Q k Q k -1
> 0, т.е. d k > d k -1 .

Но ведь d k < d 2 n , в силу убывания последовательности "четных", а d k -1 > d 2 m +1 , в силу возрастания последовательности "нечетных". Значит, d 2 n > d k > d k -1 > d 2 m +1 , что и нужно. Получается, что обе последовательности монотонны и ограничены, следовательно, имеют пределы. Кроме того,

| d s - d s -1 | = 1
Q s Q s -1
< 1
F s F s -1
 
—— ®
s ®Ґ
0,

где F s - s -ый член последовательности Фибоначчи, следовательно пределы обеих подпоследовательностей совпадают.

Итак, всякая бесконечная цепная дробь имеет некоторое значение.

Ё

Свойство 6. Пусть a О R раскладывается в цепную дробь, например, с помощью процесса взятия целых частей и "переворачивания" дробных (этот процесс предложен в пункте 7 после формулировки основной теоремы о цепных дробях), т.е.

- результат очередного этапа процесса разложения. Тогда a лежит между d s -1 и d s , причем ближе к d s , чем к d s -1 .

Доказательство. На ( s +1)-ом шаге разложения мы заменяем q s на q s + 1/ a s +1 , поэтому имеем точное равенство:

a = a s +1 P s + P s -1
a s +1 Q s + Q s -1
, значит

a a s +1 Q s + a Q s -1 - a s +1 P s - P s -1 = 0.

Преобразуем:

a s +1 Q s ж
з
и
a - P s
Q s
ц
ч
ш
+ Q s -1 ж
з
и
a - P s -1
Q s -1
ц
ч
ш
= 0.

Это равенство означает, что разности в скобках разных знаков. Кроме того, Q s > Q s -1 , a s +1 > 1, значит

з
з
з
a - P s
Q s
з
з
з
< з
з
з
a - P s -1
Q s -1
з
з
з
. Ё

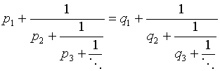
Свойство 7. Для любого a О R , разложение в цепную дробь единственно.

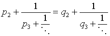
Доказательство. Пусть есть два разложения одного и того же числа:

Если два числа совпадают, то у них совпадают целые части, т.е. р 1 = q 1 , и совпадают обратные величины к дробным частям:

Далее точно так же, по индукции.

Ё

Наблюдательный читатель уже наверняка заметил, что основная теорема о цепных дробях (сформулированная в пункте 7), о необходимости доказательства которой так долго говорили большевики, к этому моменту оказалась доказанной. Более того, из вышеизложенного следует, что всякая цепная дробь (конечная или бесконечная) сходится именно к тому числу, которое было в нее разложено. И слава Богу! Аллилуйя!

Задачки

1 . Найдите формулу n -ого члена последовательности, задаваемой рекуррентно: a n = a n -1 + 2 a n -2 ; a 1 = 0, a 2 = 6.

2 . Продвинутый десятиклассник Петя решает на школьной олимпиаде такую задачу:

Доказать, что при любом n = 0, 1, 2,..., число

является целым. Поскольку Петя знает только бином Ньютона, у него получаются очень громоздкие вычисления, в которых он тонет. Помогите Пете, не используя бином Ньютона.

3 . Вычислите a с точностью до десятого знака после запятой, если:

а) a = Ц 2;

б) a = Ц 5.

Разрешается использовать только ваше умение оценивать разность между соседними подходящими дробями и калькулятор, умеющий выполнять сложение, умножение, вычитание и деление.

4 . Вычислив последнюю и предпоследнюю подходящие дроби числа 215/157, решите диофантовы уравнения:

а) 215 x - 157 y = 1;

б) 215 x - 157 y = 4.

NS НОВОСТИ КУЛЬТУРЫ

В Третьяковской галерее отреставрирована известная картина Репина "Бурлаки на Волге". Теперь она называется "Бурлаки на Мерседесе".

В серии "Раскрась сам" издательство "Плоды просвещения" выпустило для самых маленьких книжку-раскраску "Импрессионисты рубежа 19-20 веков".

Учитесь правильно говорить. Нужно говорить не "ложить", а "класть". Например:

- Мадам, кладите себе сахар в чай, пожалуйста.

Ответ: - Спасибо, я уже наклала.

Популярный актер Невинный заказал скульптору Неизвестному слепить Непонятное.

Выдающийся кинорежиссер А. Хичкок, основоположник жанра фильмов-ужасов, просмотрев на последнем кинофестивале фильм режиссера Пупочкина, воскликнул: "Какой ужас!"

Hosted by uCoz