Home
Contents

Кратко о теории чисел.

Prev Page Next Page
 
§1. Основные понятия и теоремы
Деление с остатком
Наибольший общий делитель
Взаимно простые числа
Алгоритм Евклида
Линейные диофантовы уравнения с двумя неизвестными
Простые числа и
§2. Цепные дроби
Разложение чисел в цепные дроби
Вычисление подходящих дробей
Свойства подходящих дробей
Континуанты. Анализ алгоритма Евклида
Еще кое-что о цепных дробях (приближение чисел, периодичность, теорема Эрмита)
§3. Важнейшие функции в теории чисел
Целая и дробная часть
Мультипликативные функции
Примеры мультипликативных функций
z-функция Римана
§4. Теория сравнений
Определения и простейшие свойства
Полная и приведенная системы вычетов
Теорема Эйлера и теорема Ферма
Сравнения первой степени
Сравнения любой степени по простому модулю
Сравнения любой степени по составному модулю
Сравнения второй степени. Символ Лежандра
Дальнейшие свойства символа Лежандра. Закон взаимности Гаусса
§5. Трансцендентные числа
Мера и категория на прямой
Числа Лиувилля
Число e ~= 2,718281828459045...
Число pi ~= 3,141592653589793...
Трансцендентность значений функции e в степени z
Литература

§ 3. Важнейшие функции в теории чисел

Введение в математику переменных величин и функционального мышления во времена Ньютона коренным образом преобразило все естественные науки и расширило область их применения, изменив сам стиль исследовательской деятельности. Не избежала этой участи и теория чисел, в которой функциональный взгляд на многие числовые явления позволяет легко и быстро получать красивые и полезные утверждения. Знакомством с важнейшими функциями, занятыми в спектакле "Теория чисел" на главных ролях, с их работой, чаяниями и нуждами, мы займемся в этом параграфе.

Название этого параграфа и названия первых трех его пунктов взяты мной из классической книжки И. М. Виноградова "Основы теории чисел", ибо зачем придумывать самому уже давно и хорошо придуманное? Содержание же этих пунктов получилось гораздо обширнее, чем в вышеупомянутой книжке, поэтому работа предстоит тяжелая. Но чураться работы - означает добровольно обрекать себя на бесконечный нудный и утомительный отдых на Канарах, чем наносить непоправимый вред своему здоровью. Поэтому, приступим.


Пункт 12. Целая и дробная часть.

Определение . Пусть x О R - действительное число. Целой частью [ x ] числа x называется его нижнее целое, т.е. наибольшее целое, не превосходящее x ; дробной частью { x } числа x называется число { x } = x - [ x ].

Примеры. [2,81] = 2; {2,81} = 0, 81; [- 0,2] = -1; {-0,2} = 0,8.

Отметим, что эти две функции известны каждому со школьной скамьи; что целая часть - неубывающая функция; что дробная часть - периодическая с периодом 1 функция; что дробная часть всегда неотрицательна, но меньше единицы; что обе эти функции разрывны при целых значениях x , но непрерывны при этих x справа; что лучшие мои годы уже прошли, а юношеские мечты так и не воплотились в реальность. Не осуждайте эти функции за их простоту, а лучше взгляните на их дальнейшие применения, порой изящные и неочевидные.

Лемма 1. Показатель, с которым простое число р входит в разложение n ! , равен a = [ n / p ] + [ n / p 2 ] + [ n / p 3 ] + ...

Доказательство. Очевидно, ряд [ n / p ] + [ n / p 2 ] + [ n / p 3 ] + ... обрывается на том месте k , на котором p k превзойдет n . Имеем:

n ! = 1· 2· 3·...· ...· p 2 ...· p 3 ...· ( n -1) · n .

Число сомножителей, кратных p , равно [ n / p ]. Среди них, кратных p 2 , содержится [ n / p 2 ]; кратных p 3 имеется [ n / p 3 ] и т.д. Сумма a и дает искомый результат, так как всякий сомножитель, кратный p m , но не кратный p m +1 , сосчитан в ней точно m раз: как кратный p , как кратный p 2 , как кратный p 3 ,..., как кратный p m .

Ё

Пример. Показатель, с которым 5 входит в 643! равен:

[643/5] + [643/25] + [643/125] + [643/625] = 128 + 25 + 5 + 1 = 159.

Определение. Точка координатной плоскости называется целой, если обе ее координаты - целые числа.

Лемма 2. Пусть функция f ( x ) непрерывна и неотрицательна на отрезке [ a , b ]. Тогда число целых точек в области D = { a < x Ј b , 0 < y Ј f ( x )} равно

.

Доказательство. На вертикальной прямой с целой абсциссой x в области D лежит [ f ( x )] целых точек.

Ё

Еще одно забавное утверждение про целые точки относится к области комбинаторной геометрии:

Лемма 3. Пусть М - многоугольник на координатной плоскости с вершинами в целых точках, контур М сам себя не пересекает и не касается, S - площадь этого многоугольника,

,

где суммирование ведется по всем целым точкам А , лежащим внутри и на границе этого многоугольника, причем d A = 1, если точка А лежит внутри М , и d A = 1/2, если точка А лежит на границе М . Тогда T = S .

Доказательство этой леммы я здесь приводить не буду так как эта лемма, вообще говоря, не относится к теории чисел. Намечу только схему этого доказательства.

1) Для треугольника с вершинами в целых точках и без целых точек внутри утверждение очевидно.

2) Для выпуклого многоугольника - фиксируем одну из его вершин и соединяем ее прямыми с остальными вершинами - попадаем в случай треугольников.

3) Случай невыпуклого многоугольника рассматриваем как разность выпуклых многоугольников.

Ё

Что это я все время о целых частях, да о целых частях? Ассоциация независимых профсоюзов дробных частей уже собралась подавать на меня жалобу в ООН, поэтому я, чтобы не разжигать страсти, приведу замечательное утверждение о дробных частях, принадлежащее Лежену Дирихле (1805-1859).

Теорема. Для любого a О R число 0 является предельной точкой последовательности x n = { a · n }.

Доказательство. Возьмем любое натуральное t и покажем, что неравенство

обязательно имеет решение в целых числах p и q , где q і 1. Пусть 0 = { a · 0}, { a · 1}, { a · 2},..., { a · ( t -1)}, { a · t } - ( t +1) штук чисел. Все они из отрезка [0, 1]. Разделим этот отрезок на t равных частей шагом 1/ t . По принципу Дирихле (именно для доказательства этой теоремы Дирихле и придумал свой знаменитый "принцип Дирихле" про t клеток и ( t+ 1) кролика, которым негде сидеть) в одной из частей отрезка лежит два числа { a · k 1 } и { a · k 2 }, где k 2 > k 1 . Имеем:

|{ a k 1 } - { a k 2 }| = | a ( k 2 - k 1 ) - ([ a k 2 ] - [ a k 1 ])| < 1
t
.

Положим k 2 - k 1 = q , [ a · k 2 ] - [ a · k 1 ] = p , ясно, что q Ј t . Тогда будем иметь

| a q - p | < 1
t
, 0 < q Ј t .

Это означает, что p / q - решение неравенства

.

Устремим t к бесконечности. Получим, что a q отлично от целого числа p менее, чем на 1/ t , а

.

Следовательно, либо 0, либо число 1 - предельная точка последовательности x n ={ a · n }. Если число 0 - предельная точка, то все доказано. Если же предельная точка - число 1, то тогда для любого e > 0, найдется член x последовательности x n такой, что x > 1 - e . Пусть x =1- d . Тогда 2 x = 2 - 2 d , а {2 x } (очевидно, что {2 x } - тоже член последовательности x n ) не дотягивает до 1 уже на 2 d ; число {3 x } меньше 1 уже на 3 d , и т.д. Следовательно, можно подобрать такое натуральное k , что член { kx } будет меньше единицы на k d и попадет в e -окрестность нуля. Это означает, что число 0 также является предельной точкой последовательности x n , а именно это и требовалось.

Ё

Очевидно, что если a = p / q - рациональное число, где ( p , q ) =1, то последовательность x n ={ a · n } является периодической с периодом q и ее членами являются только числа

0, 1
q
, 2
q
, …, q -1
q
.

Несколько модернизировав рассуждения из доказательства предыдущей теоремы, можно обосновать любопытное следствие, так же принадлежащее перу Дирихле.

Следствие. Если число a О R иррационально, то члены последовательности x n ={ a · n } всюду плотно заполняют отрезок [0, 1].

Попытайтесь доказать это следствие самостоятельно, а я на этом пункт 12 заканчиваю.

Задачки

1 . Постройте графики функций:

а) y = [ x ];

б) y = { x };

в) y = [ x 2 ];

г) y = { x 2 }.

Особое внимание уделите плавности линий, проработке отдельных элементов композиции, грамотной прорисовке точек разрыва.

2 . Аккуратно докажите следующие свойства целой части:

а) [ x + y ] і [ x ] + [ y ];

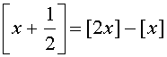
б)  , где  n   О   N ;

в)  ;

г)  , где n О N .

3 . Разложите на простые множители число 100! и подивитесь, у какого огромного числа вам удалось найти каноническое разложение!

4 . Решите уравнение: x 3 - [ x ] = 3.

5 . Докажите, что при любых a 0 и b , уравнение [ x ] + a { x } = b имеет [| a |] или [| a |]+1 решений.

6 . Для каждого натурального n определите, сколько решений имеет уравнение x 2 - [ x 2 ] = { x } 2 на отрезке [1; n ].

7 . Найдите предел:

.

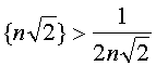
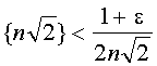
8 . Докажите, что для любого натурального n имеет место оценка:

,

однако для любого e > 0, найдется натуральное n , удовлетворяющее неравенству

.

9 . Сколько целых точек лежит в области между осью абсцисс и параболой y = - x 2 + 30?

10 . Найдите площадь многоугольника, который получится, если последовательно соединить отрезками точки А(0, 0), В(2, 7), С(4, 2), D(8, 8), E(10, 0), F(5, -5), A(0, 0).

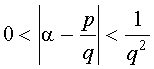
11 . Докажите, что для любого иррационального числа a О R неравенство

имеет бесконечное множество решений ( p , q ) О Z ґ N и, следовательно, знаменатели q всех решений неограничены. *


* В теории приближения действительных чисел рациональными числами утверждение этой задачи звучит так: Всякое иррациональное число допускает степенной порядок приближения 1/ q 2 . Это один из основополагающих фактов упомянутой теории.

NS ОБЪЯВЛЕНИЯ

Потерялась собака. Очухаешься, позвони 455893, Толик.

Познакомлюсь с симпатичной девушкой. Сам скромный и простой, как число 19.

Молодая, симпатичная блондинка, 90/60/90, купит вагон кровельного железа.

Классно точу карандаши. Тел. 74-62-86.

Молодой, неженатый, симпатичный доктор наук, жильем обеспечен, м\о, а\м, просит больше ему не звонить.

Hosted by uCoz