Home
Contents

Кратко о теории чисел.

Prev Page Next Page
 
§1. Основные понятия и теоремы
Деление с остатком
Наибольший общий делитель
Взаимно простые числа
Алгоритм Евклида
Линейные диофантовы уравнения с двумя неизвестными
Простые числа и
§2. Цепные дроби
Разложение чисел в цепные дроби
Вычисление подходящих дробей
Свойства подходящих дробей
Континуанты. Анализ алгоритма Евклида
Еще кое-что о цепных дробях (приближение чисел, периодичность, теорема Эрмита)
§3. Важнейшие функции в теории чисел
Целая и дробная часть
Мультипликативные функции
Примеры мультипликативных функций
z-функция Римана
§4. Теория сравнений
Определения и простейшие свойства
Полная и приведенная системы вычетов
Теорема Эйлера и теорема Ферма
Сравнения первой степени
Сравнения любой степени по простому модулю
Сравнения любой степени по составному модулю
Сравнения второй степени. Символ Лежандра
Дальнейшие свойства символа Лежандра. Закон взаимности Гаусса
§5. Трансцендентные числа
Мера и категория на прямой
Числа Лиувилля
Число e ~= 2,718281828459045...
Число pi ~= 3,141592653589793...
Трансцендентность значений функции e в степени z
Литература

§ 3. Важнейшие функции в теории чисел


Пункт 13. Мультипликативные функции.

В этом пункте с "чертоводюжинным" номером речь пойдет об одном важном классе функций, которому в теории чисел посвящены целые монографии (см., напр., книжку Г.Дэвенпорта "Мультипликативная теория чисел").

Определение. Функция q : R ® R (или, более общо, q : C ® C ) называется мультипликативной если:

1). Функция q определена всюду на N и существует а О N такой, что q ( а ) 0.

2). Для любых взаимно простых натуральных чисел а 1 и а 2 выполняется q ( а 1 · а 2 ) = q ( а 1 ) · q ( а 2 ).

Пример 1. q ( а ) = а s , где s - любое (хоть действительное, хоть комплексное) число. Проверка аксиом 1) и 2) из определения мультипликативной функции не составляет труда, а сам пример показывает, что мультипликативных функций по меньшей мере континуум, т.е. много.

Перечислим, кое-где доказывая, некоторые свойства мультипликативных функций. Пусть всюду ниже q ( а ) - произвольная мультипликативная функция.

Свойство 1. q (1) = 1.

Доказательство. Пусть а - то самое натуральное число, для которого q ( а ) 0. Тогда q ( а · 1) = q ( а ) · q (1) = q ( а ).

Ё

Свойство 2.

,

где р 1 , р 2 ,..., р n - различные простые числа.

Доказательство очевидно.

Ё

Свойство 3. Обратно, мы всегда построим некоторую мультипликативную функцию q ( a ), если зададим q (1) = 1 и произвольно определим q ( р a ) для всех простых р и всех натуральных a , а для остальных натуральных чисел доопределим функцию q ( a ) используя равенство

.

Доказательство сразу следует из основной теоремы арифметики.

Ё

Пример 2. Пусть q (1) = 1 и q ( р a ) = 2 для всех р и a . Тогда, для произвольного числа,

.

Свойство 4. Произведение нескольких мультипликативных функций является мультипликативной функцией.

Доказательство. Сначала докажем для двух сомножителей: Пусть q 1 и q 2 - мультипликативные функции q = q 1 · q 2 , тогда (проверяем аксиомы определения)

1) q (1) = q 1 (1) · q 2 (1) = 1 и, кроме того, существует такое a (это a = 1), что q ( a ) 0.

2) Пусть ( a , b ) = 1 - взаимно просты. Тогда

q ( a · b ) = q 1 ( a · b ) · q 2 ( a · b ) =

= q 1 ( a ) q 1 ( b ) q 2 ( a ) q 2 ( b ) =

= q 1 ( a ) q 2 ( a ) · q 1 ( b ) q 2 ( b ) = q ( a ) q ( b ).

Доказательство для большего числа сомножителей проводится стандартным индуктивным рассуждением.

Ё

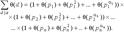
Введем удобное обозначение. Всюду далее, символом

будем обозначать сумму чего-либо, в которой суммирование проведено по всем делителям d числа n . Следующие менее очевидные, чем предыдущие, свойства мультипликативных функций я сформулирую в виде лемм, ввиду их важности и удобства дальнейших ссылок.

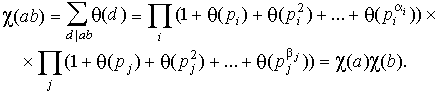
Лемма 1. Пусть

- каноническое разложение числа a О N , q - любая мультипликативная функция. Тогда:

Если a = 1, то считаем правую часть равной 1.

Доказательство. Раскроем скобки в правой части. Получим сумму всех (без пропусков и повторений) слагаемых вида

,

где 0 Ј b k Ј a k , для всех k Ј n . Так как различные простые числа заведомо взаимно просты, то

,

а это как раз то, что стоит в доказываемом равенстве слева.

Ё

Лемма 2. Пусть q ( a ) - любая мультипликативная функция. Тогда

,

- также мультипликативная функция.

Доказательство. Проверим для c ( a ) аксиомы определения мультипликативной функции.

1).

2). Пусть

и все р и q различны. Тогда, по предыдущей лемме, имеем: (благо, делители у чисел a и b различны)

Ё

Итак, я перечислил шесть свойств мультипликативных функций, которые пригодятся нам в дальнейшем. Просьба хорошенько их запомнить и не унывать даже в самой тяжелой жизненной ситуации.

Задачки

1 . Предлагаю читателю самостоятельно доказать обратное утверждение к лемме 2 настоящего пункта, а именно, если

- мультипликативная функция и функция q ( n ) всюду определена хотя бы на N , то q ( n ) также обязана быть мультипликативной функцией.

2 . Пусть q ( p a ) = a для всех простых р . Вычислите

а) q (864); б) q (49500).

3 . Пусть q ( p a ) = a для всех простых р . Вычислите

4 . Пусть вещественная мультипликативная функция f ( x ) определена и непрерывна для всех x > 0. Докажите, что f ( x ) = x s для некоторого s О R , т.е. примером 1 настоящего пункта исчерпываются все непрерывные мультипликативные функции. *


* Самым первым на планете Земля этот факт установил О. Коши, интересовавшийся решениями функциональных уравнений следующих четырех видов:

f ( a + b ) = f ( a ) + f ( b ) ;     f ( a + b ) = f ( a ) f ( b ) ;

f ( ab ) = f ( a ) + f ( b ) ;     f ( ab ) = f ( a ) f ( b ) .

Он установил, что непрерывные решения этих уравнений имеют, соответственно, вид (в классе разрывных функций могут быть и другие решения):

Cx  ;     e Cx  ;     C  ln  x  ;     x C ( x > 0).

Hosted by uCoz