Home
Contents

Кратко о теории чисел.

Prev Page Next Page
 
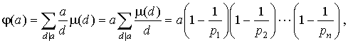
§1. Основные понятия и теоремы
Деление с остатком
Наибольший общий делитель
Взаимно простые числа
Алгоритм Евклида
Линейные диофантовы уравнения с двумя неизвестными
Простые числа и
§2. Цепные дроби
Разложение чисел в цепные дроби
Вычисление подходящих дробей
Свойства подходящих дробей
Континуанты. Анализ алгоритма Евклида
Еще кое-что о цепных дробях (приближение чисел, периодичность, теорема Эрмита)
§3. Важнейшие функции в теории чисел
Целая и дробная часть
Мультипликативные функции
Примеры мультипликативных функций
z-функция Римана
§4. Теория сравнений
Определения и простейшие свойства
Полная и приведенная системы вычетов
Теорема Эйлера и теорема Ферма
Сравнения первой степени
Сравнения любой степени по простому модулю
Сравнения любой степени по составному модулю
Сравнения второй степени. Символ Лежандра
Дальнейшие свойства символа Лежандра. Закон взаимности Гаусса
§5. Трансцендентные числа
Мера и категория на прямой
Числа Лиувилля
Число e ~= 2,718281828459045...
Число pi ~= 3,141592653589793...
Трансцендентность значений функции e в степени z
Литература

§ 3. Важнейшие функции в теории чисел


Пункт 14. Примеры мультипликативных функций.

Предыдущий пункт дал нам общие абстрактные знания о мультипликативных функциях вообще. Благодаря этому, в этом пункте мы сможем во всеоружии встретить целую серию примеров полезных мультипликативных функций. Большинство этих примеров строятся с использованием лемм предыдущего пункта, а в качестве исходного строительного материала берется какая-нибудь конкретная степенная функция q ( а ) = а s , которая, конечно, мультипликативна. Вы готовы? Начинаем.

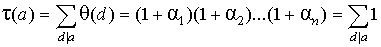
Пример 1. Число делителей данного числа.

Пусть q ( а ) = а 0 є 1 - тождественная единица (заведомо мультипликативная функция). Тогда, если

,

то тождество леммы 1 пункта 13 принимает вид:

,

- это не что иное, как количество делителей числа a . По лемме 2 пункта 13, количество делителей t ( a ) числа a есть мультипликативная функция.

Численный примерчик. t (720) = t (2 4 · 3 2 · 5) = (4 + 1)(2 + 1)(1 + 1) = 30.

Пример 2. Сумма делителей данного числа.

Пусть q ( a ) = a 1 є a - тождественная мультипликативная функция. Тогда, если

,

то тождество леммы 1 пункта 13 принимает вид:

сумма первых ( a + 1) членов
геометрической прогрессии

- сумма всех делителей числа a . По лемме 2 пункта 13, сумма всех делителей есть мультипликативная функция.

Численный примерчик.

S (720) = S (2 4 · 3 2 · 5) = 2 5 - 1
2 - 1
· 3 3 - 1
3 - 1
· 5 2 - 1
5 - 1
= 2418.

Пример 3. Функция Мебиуса.

Функция Мебиуса m ( a ) - это мультипликативная функция, определяемая следующим образом: если p - простое число, то m ( p ) = -1; m ( p a ) = 0, при a > 1; на остальных натуральных числах функция доопределяется по мультипликативности.

Таким образом, если число a делится на квадрат натурального числа, отличный от единицы, то m ( a ) = 0; если же a = p 1 p 2· · · p n (теоретик-числовик сказал бы на своем жаргоне: "если a свободно от квадратов"), то m ( a ) = (-1) k , где k - число различных простых делителей a . Понятно, что m (1) = (-1) 0 = 1, как и должно быть.

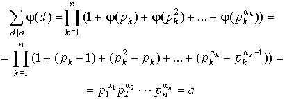
Лемма 1. Пусть q ( a ) - произвольная мультипликативная функция,

.

Тогда:

(при a = 1 считаем правую часть равной 1).

Доказательство. Рассмотрим функцию q 1 ( x ) = m ( x ) · q ( x ). Эта функция мультипликативна, как произведение мультипликативных функций. Для q 1 ( x ) имеем ( p - простое): q 1 ( p ) = - q ( x ); q 1 ( p a ) = 0, при a > 1. Следовательно, для q 1 ( x ) тождество леммы 1 пункта 13 выглядит так:

Ё

Следствие 1. Пусть q ( d ) = d -1 = 1/ d (это, конечно, мультипликативная функция),

Тогда:

Воздержусь от доказательства этого следствия в силу банальности сего доказательства, но вот на правую часть этого тождества попрошу обратить внимание, так как она еще неоднократно у нас встретится. Физический смысл этой правой части раскрывает пример следующей функции.

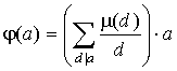
Пример 4. Функция Эйлера.

Функция Эйлера, пожалуй, самая знаменитая и "дары приносящая" функция из всех функций, рассматриваемых в этом пункте. Функция Эйлера j ( a ) есть количество чисел из ряда 0, 1, 2,..., a - 1, взаимно простых с a . Полезность и практическое применение этой функции я продемонстрирую в следующих пунктах, а сейчас давайте поймем, как ее вычислять.

Лемма 2. Пусть

.

Тогда:

1) (формула Эйлера);

2)

в частности, j ( p a ) = p a - p a -1 , j ( p ) = p - 1.

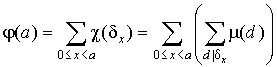
Доказательство. Пусть x пробегает числа 0, 1, 2,..., a - 1. Положим d x = ( x , a ) - наибольший общий делитель. Тогда j ( a ) есть число значений d x , равных 1. Придумаем такую функцию c ( d x ), чтобы она была единицей, когда d x единица, и была нулем в остальных случаях. Вот подходящая кандидатура:

Последнее легко понять, если вспомнить лемму 1 из этого пункта и в ее формулировке взять q ( d ) є 1. Далее, сделав над собой некоторое усилие, можно усмотреть, что:

Поскольку справа сумма в скобках берется по всем делителям d числа d x = ( x , a ), то d делит x и d делит a . Значит в первой сумме справа в суммировании участвуют только те x , которые кратны d . Таких x среди чисел 0, 1, 2,..., a - 1 ровно a / d штук. Получается, что:

что и требовалось.

Пояснение для читателей, у которых предыдущие соображения не захотели укладываться в голову, например, из-за плохих погодных условий. Имеем

Зафиксируем некоторое d 0 такое, что d 0 делит a , d 0 делит x , x < a . Значит в сумме справа в скобках слагаемых m ( d 0 ) ровно a / d 0 штук и j ( a ) есть просто сумма

После этого, равенство

получается применением следствия из леммы 1 этого пункта. Должен признать, что приведенное доказательство формулы Эйлера и, в особенности, его последний момент с изменением порядка суммирования, объективно тяжеловаты для понимания. Но мы не боимся трудностей!

Второе утверждение леммы следует из первого внесением впереди стоящего множителя a внутрь скобок.

Ё

Оказывается, только что доказанная формула

для вычисления функции Эйлера имеет ясный "физический смысл". Дело в том, что в ней отражено так называемое правило включений и исключений:

Правило включений и исключений. Пусть задано множество А и выделено k его подмножеств. Количество элементов множества А , которые не входят ни в одно из выделенный подмножеств, подсчитывается так: надо из общего числа элементов А вычесть количества элементов всех k подмножеств, прибавить количества элементов всех их попарных пересечений, вычесть количества элементов всех тройных пересечений, прибавить количества элементов всех пересечений по четыре и т.д. вплоть до пересечения всех k подмножеств.

Проиллюстрирую это правило на примере подсчета функции Эйлера для чисел вида

Посмотрите на рисунок 4.

Рис. 4.

Прямоугольник изображает множество всех целых чисел от 0 до a ; овал N 1 - множество чисел, кратных p 1 ; кружок N 2 - числа, кратные p 2 ; пересечение N 1,2 - множество чисел, делящихся одновременно на p 1 и p 2 , т.е. на p 1 p 2 ; числа вне овала и кружочка взаимно просты с a . Для подсчета числа чисел, взаимно простых с a , нужно из a вычесть количество чисел в N 1 и количество чисел в N 2 (их, соответственно, a / p 1 и a / p 2 штук), при этом общая часть N 1,2 (там a /( p 1 p 2 ) штук чисел) вычтется дважды, значит ее надо один раз прибавить (вот оно, "включение - исключение"!). В результате получим:

что я вам и утверждал. Мне кажется, что таким способом можно объяснить формулу Эйлера любому смышленому школьнику.

Кстати, любому смышленому школьнику вполне возможно объяснить и то, что при a > 2, j ( a ) всегда число четное. Действительно, если k взаимно просто с a и k < a , то число a - k тоже меньше a , взаимно просто с a и не равно k . (Если бы a и a - k имели общий делитель, то их разность a - ( a - k ) = k тоже делилась бы на этот делитель, что противоречит взаимной простоте a и k .) Значит числа, взаимно простые с a разбиваются на пары k и a - k , следовательно, их четное число.

Из леммы 2 вытекают приятные следствия.

Следствие 2. Функция Эйлера мультипликативна.

Доказательство. Имеем:

- произведение двух мультипликативных функций, первая из которых мультипликативна по лемме 2 пункта 13. Значит, j ( a ) - мультипликативна.

Ё

Следствие 3. .

Доказательство. Пусть

.

Тогда, по лемме 1 пункта 13 имеем:

.

Ё

Численные примерчики.

j (5) = 5 - 1 = 4

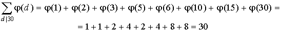
j (30) = j (2 · 3 · 5) = (2 - 1)(3 - 1)(5 - 1) = 8

На этом, пожалуй, пункт 14 закончим. Кроме того, предложение, которое вы сейчас начали внимательно читать, тоже закончилось.

Задачки

1 . Потренируйтесь и найдите число делителей и сумму делителей чисел:

а) 5600;

б) 116424.

2 . Найдите сумму собственных делителей (т.е. делителей, отличных от самого числа) чисел:

а) 6;

б) 28;

в) 496;

г) 8128.

Подивитесь полученному результату. *

3 . Составьте таблицу значений функции Мебиуса m ( n ) для всех значений n от 1 до 100. Бережно сохраните результат.

4 . Составьте таблицу значений функции Эйлера j ( n ) для всех значений n от 1 до 100. Бережно сохраните результат.

5 . Используя формулу Эйлера для j ( n ), еще раз докажите бесконечность множества простых чисел.

6 . Докажите, что существует бесконечно много чисел n О N , удовлетворяющих для всех k = 1, 2,..., n - 1 неравенствам

S ( n )
n
> S ( k )
k
,

где S ( n ) - сумма всех делителей числа n .

7 . Докажите, что для любого натурального n выполняются неравенства

n 2
2
< j ( n ) · S ( n ) < n 2 .

8 . На кафтане площадью 1 нашито 5 заплат, площадь каждой из которых не меньше 1/2. Докажите, что найдутся две заплаты, площадь общей части которых не меньше 1/5.

9 . Элитарный бизнес-клуб регулярно посещают 220 новых русских. При бизнес-клубе имеется шесть спортивных секций, представляющие следующие виды спорта: глазопучинг, разглядывание тяжестей, прыжки в ширину, дебилдинг, бег в трусцах, футбол ежом. В эти секции записались, соответственно, 30, 26, 32, 31, 28 и 36 человек. В несколько секций записались 53 новых русских, из них 24 братана посещают три или больше секций, 9 братанов не меньше четырех секций и 3 братана - даже пять секций. В последнюю тройку братанов входит один чудак, который записался во все шесть секций. Директор клуба хочет знать, сколько братанов не записались ни в одну секцию?

10 . Пусть k - натуральное число, d пробегает все делители числа а с условием j ( d ) = k . Докажите, что

11 . Пусть k - четное натуральное число, d пробегает все делители свободного от квадратов числа a = p 1 p 2· · · p k с условием 0 < d < Ц a . Докажите, что


* Числа равные сумме собственных делителей древние греки назвали совершенными. В формулировке задачи указаны первые четыре (известных еще Пифагору) совершенных числа. Евклид обнаружил, что если число 2 k -1 - простое, то число (2 k -1) · 2 k -1 обязано быть совершенным. Эйлер доказал, что все четные совершенные числа имеют такой вид. Неизвестно, существуют ли вообще нечетные совершенные числа; во всяком случае, такие числа должны быть больше 10 100 - результат хорошо организованной машинной проверки. Имеется ровно 24 значения k < 20000 , для которых число 2 k -1 - простое ( в этом случае k само обязано быть простым ). Простые числа вида 2 k -1 называются числами Мерсенна, по имени французского математика, который в 1644 году указал в большей части верный список всех таких простых, меньших 10 79 . Изрядно потрудившись, читатель сам может выписать наибольшее известное на сегодняшний день совершенное число, отталкиваясь от наибольшего известного на сегодня простого числа Мерсенна, указанного в пункте 6 этой книжки. Предполагается, что совершенные числа были известны уже в древнем Вавилоне и Египте, где рука с загнутым безымянным пальцем обозначала число шесть - первое совершенное число. Тем самым этот палец сам стал причастен к совершенству и за ним закрепилась привилегия носить обручальное кольцо.

NS НОВОСТИ НАУКИ

Выпуск самых маленьких в мире шагающих экскаваторов наладила японская фирма "Сони". Экскаваторы бегают по полю в миниатюрных ботиночках и роют лунки для гольфа.

"Ты моя суженная!" - сказал прямоугольник трапеции.

Новости демографии. Завершилась перепись населения в Китае. Кончилась бумага.

В лаборатории физики плазмы введен в действие уникальный реактор. В реактор загружены все необходимые реагенты и немного дрожжей. Через неделю физики будут отмечать окончание эксперимента.

Новый компъютер разработан в институте физики металлов. Монолитный титановый монитор, стальной винчестер с затвором, хромель-алюмелевые кнопочки, отсутствие педалей и рулевой колонки делают новинку совершенно ненужной для грабителей.

Hosted by uCoz