Home
Contents

Кратко о теории чисел.

Prev Page Next Page
 
§1. Основные понятия и теоремы
Деление с остатком
Наибольший общий делитель
Взаимно простые числа
Алгоритм Евклида
Линейные диофантовы уравнения с двумя неизвестными
Простые числа и
§2. Цепные дроби
Разложение чисел в цепные дроби
Вычисление подходящих дробей
Свойства подходящих дробей
Континуанты. Анализ алгоритма Евклида
Еще кое-что о цепных дробях (приближение чисел, периодичность, теорема Эрмита)
§3. Важнейшие функции в теории чисел
Целая и дробная часть
Мультипликативные функции
Примеры мультипликативных функций
z-функция Римана
§4. Теория сравнений
Определения и простейшие свойства
Полная и приведенная системы вычетов
Теорема Эйлера и теорема Ферма
Сравнения первой степени
Сравнения любой степени по простому модулю
Сравнения любой степени по составному модулю
Сравнения второй степени. Символ Лежандра
Дальнейшие свойства символа Лежандра. Закон взаимности Гаусса
§5. Трансцендентные числа
Мера и категория на прямой
Числа Лиувилля
Число e ~= 2,718281828459045...
Число pi ~= 3,141592653589793...
Трансцендентность значений функции e в степени z
Литература

§ 3. Важнейшие функции в теории чисел


Пункт 15. ζ-функция Римана.

Этот пункт несколько сложнее предыдущих, так как для его понимания потребуются определенные знания из области математического анализа и теории функций комплексного переменного. Но было бы просто неправильно в параграфе под названием "Важнейшие функции в теории чисел" умолчать об одной из самых загадочных и влиятельных в математике функций - z -функции Римана, поэтому сделаем над собой некоторое усилие, отбросим внутреннюю скованность и попытаемся подойти к z -функции, чтобы познакомиться (надеюсь, более обстоятельно, чем с симпатичной девушкой, бегущей на автобус по суетливой улице). Всюду ниже буквой C обозначается поле комплексных чисел.

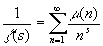
Определение. Пусть s О C , действительная часть Re( s ) > 1. z -функцией Римана называется функция комплексного переменного, задаваемая рядом:

Правомерность такого определения подтверждает следующее наблюдение.

Наблюдение. В полуплоскости Re( s ) > 1 ряд
сходится абсолютно.

Доказательство. Пусть s О C , Re( s ) > 1, s = s + i j (cм. рис. 5).

Рис. 5.

Посчитаем абсолютные величины членов ряда:

Теперь воспользуемся интегральным признаком сходимости (мы помним, что s > 1):

Значит, при s > 1 ряд
сходится абсолютно.

Ё

Из этого наблюдения вытекает

Следствие 1. Функция z ( s ) аналитична в полуплоскости Re( s ) > 1.

Доказательство. Действительно, при всяком e > 0 и фиксированном r > 1+ e , числовой ряд мажорирует ряд из абсолютных величин = , где s і r , откуда, по теореме Вейерштрасса, следует равномерная сходимость ряда в полуплоскости Re( s ) і r . Сумма же равномерно сходящегося ряда из аналитических функций сама является аналитической функцией.

Теперь осталось только неограниченно приближаться к вертикальной пунктирной прямой Re( s ) = 1 на рис.5, устремляя e к нулю. Получается, что во всех полуплоскостях, граница которых сколь угодно близко подходит к прямой Re( s ) = 1, ряд сходится абсолютно и равномерно (почти как лошади на водопой), а его сумма - аналитическая функция.

Ё

Нематематическое (значит, лирическое) отступление.

Справедливости ради следует сказать, что функцию впервые рассматривал Эйлер, который узнал много ее свойств и открыл свою знаменитую формулу , связывающую z ( s ) с простыми числами. Поэтому, правильнее было бы называть главную героиню этого пункта дзета-функцией Эйлера. Однако математики - люди твердолобые, и раз уж так повелось, талдычат все: "дзета-функция Римана" да "дзета-функция Римана". (Ортодоксальные математики до сих пор, например, условия аналитичности Даламбера - Эйлера функции комплексного переменного называют условиями Коши - Римана.) Разумеется, Риман тоже изучал функцию z ( s ) и высказал про нее много интересного, но мы не будем осуждать здесь ортодоксальных математиков за неправильное именование функции z ( s ), ибо само по себе имя ярчайшей звезды математического небосклона Георга Фридриха Бернгарда Римана есть вечная награда для любой функции, а z ( s ) такой орден, несомненно, заслужила.

Несколько слов о Бернгарде Римане (1826 - 1866), человеке, который в очень большой степени определил лицо современной математики. Риман был сыном деревенского священника, учился в Геттингенском университете, где в 1851 году получил степень доктора, в 1854 году стал приват-доцентом, в 1859 году - профессором, переемником Дирихле на кафедре математики. Болезненный, он провел последние несколько месяцев жизни в Италии, где и умер в сорокалетнем возрасте. За свою короткую жизнь Риман опубликовал небольшое число работ, но каждая из них - настоящая жемчужина, открывающая новые и плодотворные области. Именно Риману мы обязаны введением в анализ топологических представлений, понятию римановой поверхности, определению интеграла Римана, исследованию гипергеометрических рядов и абелевых функций, и так далее, и так далее. Именно ему мы обязаны новому взгляду на геометрию, при котором пространство вводится как топологическое многообразие с метрикой, задаваемой произвольной квадратичной дифференциальной формой (теперь мы говорим - римановы пространства). В работе 1859 года он исследовал количество простых чисел, меньших заданного числа, и дал точную формулу для нахождения этого числа с участием функции z ( s ). В этой знаменитой работе сформулирована не менее знаменитая "Гипотеза Римана" о нулях аналитического продолжения z ( s ) на всю комплексную плоскость (Верно ли, что все не действительные нули дзета-функции лежат на прямой Re( s ) =1/2?). Эта гипотеза, пожалуй, является одной из самых старых, трудных и насущных математических проблем. Она до сих пор не доказана и не опровергнута. Слава Богу, что ее формулировка неэлементарна, а то многочисленные доморощенные математики-ферматисты кинулись бы ее доказывать и одному из сотрудников математико-механического факультета Уральского госуниверситета пришлось бы, наряду с патологическими доказательствами теоремы Ферма, читать еще и "доказательства" гипотезы Римана, а это было бы уже совершенно невыносимо, так как может спровоцировать у сотрудника поступки суицидального характера.

Далее нам потребуются некоторые сведения из матанализа и теории функций комплексного переменного про бесконечные произведения. Бесконечные произведения - забавная и полезная потеха, которой почему-то, в отличие от бесконечных сумм, на лекциях в университете уделяют мало внимания. Исправим, отчасти, сие недоразумение.

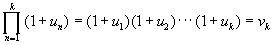
Определение. Пусть u 1 , u 2 ,..., u n ,... - бесконечная последовательность комплексных чисел и все u j - 1. Выражение вида:

( Є )

называется бесконечным произведением, а выражения:

- частичными произведениями бесконечного произведения ( Є ).

Если последовательность частичных произведений v k при k ® Ґ сходится к числу v 0, то говорят, что бесконечное произведение ( Є ) сходится и равно v . В противном случае, если v k не сходится (или v k ® 0), то говорят, что бесконечное произведение ( Є ) расходится (соответственно, расходится к нулю).

Честно говоря, при первом знакомстве, словосочетание "расходится к нулю" вызвало у меня недоумение. Однако, при дальнейшем изучении конструкции бесконечного произведения, это недоумение рассеялось, так как выделение особого случая v k ® 0 связано с традицией логарифмировать бесконечные произведения, чтобы перейти к рядам - более знакомым объектам, а логарифм нуля не имеет смысла и, видимо, находится далеко за пределами нашего разумения.

Теорема 1 (Признак сходимости ( Є )). Если ряд

u 1 + u 2 +... + u n +...

сходится абсолютно, то бесконечное произведение ( Є ) сходится.

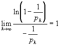
Доказательство . Пусть - сходится, значит общий член этого ряда стремится к нулю и можно считать, что, например, | u n | Ј 1/2 для всех n > n 0 О N . Пусть сначала u n О R . Тогда, в силу замечательного предела , начиная с некоторого номера n > n 0 , имеем: |ln (1 + u n )| Ј 2| u n |. Значит последовательность логарифмов частичных произведений

Sn = ln (1 + u 1 ) + ln (1 + u 2 ) +…+ ln (1 + u n ) = ln v n

сходится, т.к. , а справа в последнем неравенстве стоят частичные суммы сходящегося ряда. Следовательно, сходится и бесконечное произведение ( Є ).

Пусть теперь u n - произвольные комплексные числа. Надо доказать, что при n ® Ґ сходятся две последовательности действительных чисел:

| v n | = |(1+ u 1 ) ·...· (1+ u n )| = |1+ u 1 | ·...· |1+ u n | (1)

arg v n = arg ((1+ u 1 ) ·...· (1+ u n )) = arg (1+ u 1 ) +...+ arg (1+ u n ) (2)

Пусть u n = a n + i b n . Ясно, что для сходимости последовательности

| v n | необходимо и достаточно сходимости последовательности | v n | 2 .

Но |1+ u n | 2 = |1 + a n + i b n | 2 = 1 + a n 2 + b n 2 + 2 a n и, так как

| a n 2 + b n 2 + 2 a n | Ј | u n | 2 + 2| u n |, то сходимость (1) следует из уже доказанного. Сходимость (2) следует из того, что при всех n , больших некоторого n 0 , | arg (1+ u n )| = (здесь опять использован замечательный предел
), а | b n | ® 0 т.к. u n ® 0.

Ё

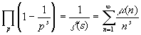
Ключ к пониманию огромной роли функции z ( s ) в теории чисел кроется в уже упоминавшейся выше замечательной формуле Эйлера.

Теорема 2 (Формула Эйлера).

,

где p j - j -ое простое число и, таким образом, бесконечное произведение справа берется по всем простым числам.

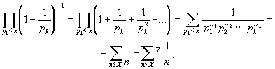
Доказательство. Пусть X і 1, Re( s ) > 1. Ряды

абсолютно сходятся (ибо мажорируются геометрическими прогрессиями). По теореме 1 это значит, что бесконечное произведение в формуле Эйлера сходится. Имеем (значок означает произведение по всем простым числам, не превосходящим X ):

.

Здесь при получении первого равенства использовалась формула суммы геометрической прогрессии, при получении последнего равенства существенную роль сыграла основная теорема арифметики. Через R ( s, X ) обозначен остаточный член, приписывание которого в нужном месте, вообще-то, позволяет поставить знак равенства между любыми величинами. На самом же деле, R ( s, X ) содержит бесконечное число слагаемых вида 1/ n s , не вошедших в стоящую перед ним сумму. Оценим остаточный член:

,

т.е. R ( s, X ) ® 0, при X ® Ґ . Это и означает справедливость формулы Эйлера.

Ё

Следствие 2. При Re( s ) > 1, z ( s ) не имеет нулей.

Доказательство. Имеем:

,

значит,
.

Ё

Продолжим z ( s ) в полуплоскость Re( s ) > 0. Следующие лемма и следствие из нее призваны лишь показать один из возможных способов реализации такого продолжения, поэтому их доказательство можно пропустить без всякого ущерба для дальнейшего понимания.

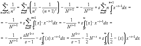
Лемма 1. При Re( s ) > 0, N і 1

Доказательство. Имеем при Re( s ) > 1:


Но последний интеграл справа определяет аналитическую функцию даже при Re( s ) > 0. Поэтому, в силу принципа аналитического продолжения, утверждение леммы 1 справедливо.

Ё

Следствие 3. Функция z ( s ) является аналитической в полуплоскости Re(s)>0 за исключением точки s = 1; в точке s = 1 дзета-функция имеет простой полюс с вычетом, равным 1.

Ё

Оказывается, что дзета-функция имеет бесконечно много нулей в "критической полосе" 1 > Re( s ) > 0. Известно, что эти нули лежат симметрично относительно прямых Re( s ) =1/2 и Im( s ) = 0; известно, что в области Re( s ) і , где b = Im( s ), а с - абсолютная постоянная, нулей у z ( s ) нет (Теорема Ш. Валле-Пуссена). Однако знаменитая гипотеза Римана о том, что все нули z ( s ) лежат на прямой Re( s ) = 1/2 до сих пор не доказана, хотя проверена для более 7 миллионов корней. Хотите посмотреть на первые десять корней z ( s ) = 0? Вот они:

r1,2=1/2±14,134725i,
r3,4=1/2±21,022040i,
r5,6=1/2±25,010856i,
r7,8=1/2±30,424878i,
r9,10=1/2±32,935057i.

(Шутка: предлагаю непосредственной подстановкой убедиться, что это - корни z ( s ) = 0.)

Приведу еще, в качестве красивой картинки, без комментариев, ту самую удивительную формулу Римана, о которой уже упоминалось в этом пункте мелким шрифтом, для числа p ( x ) простых чисел, не превосходящих x :

,

где суммирование справа ведется по всем нулям z ( s ), а

.

К сожалению, рассказ о серьезных и нетривиальных применениях дзета-функции Римана выходит за рамки этой скромной книжки, поэтому, чтобы хоть как-то представить всю мощь этой функции, немного постреляем из пушки по воробьям - докажем с ее помощью пару известных утверждений.

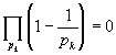
Утверждение 1. Простых чисел бесконечно много.

Доказательство первое. Ну пусть p 1 , p 2 ,..., p k - все простые. Тогда, так как

,

получаем (при s = 1 и достаточно больших N ):

,

ибо .
Но это невозможно, ибо гармонический ряд
расходится.

Ё

Доказательство второе. Ну пусть p 1 , p 2 ,..., p k - все простые.

Тогда , что невозможно, ибо конечное произведение суть рациональное число, чего никак не скажешь о числе p2/6.

Ё

Следующее утверждение гораздо менее известно, чем бесконечность множества простых. Возмем гармонический ряд и сильно проредим его, оставив в нем только слагаемые, обратные к простым числам и выкинув все слагаемые, являющиеся обратными к составным. Это действительно сильное прорежение, так как в натуральном ряде имеются сколь угодно длинные промежутки без простых чисел, например:

n ! + 2 , n ! + 3 , n !+4,..., n ! +n .

Гармонический ряд, как известно, расходится. Удивительно, что

Утверждение 2. Ряд из обратных величин ко всем простым числам расходится.

Доказательство. Пусть X О N . Имеем:

где значок С означает, что суммирование ведется по всем n>X, в разложении которых нет простых сомножителей, больших Х . Значит:

и ,

так как гармонический ряд расходится. Из последнего вытекает, что бесконечное произведение

- расходится к нулю, т.е.

.

Значит,

.

Мы помним замечательный предел:

,

из которого следует, что:

,

откуда моментально:

.

Таким образом, в ряде

каждый член меньше соответствующего члена расходящегося к - Ґ ряда

,

следовательно, ряд
расходится к + Ґ .

Ё

Справедливости ради отмечу: несмотря на то, что ряд самым невероятным образом расходится, он расходится все-таки медленнее гармонического. Про частичные суммы этих рядов известно, что растет как lnn* , в то время, как
растет только как ln(ln p n ).

Позвольте мне быстренько закончить этот уже порядком поднадоевший пункт, а вместе с ним и весь третий параграф, установлением связи между дзета-функцией (которая не мультипликативна) и функцией Мебиуса m ( n ) (которая мультипликативна). Из этой связи понятно, что z ( s ) очень близка к мультипликативным функциям - просто единица, деленная на дзета-функцию, есть сумма (правда, бесконечная) мультипликативных функций.

Лемма 2. Пусть Re( s ) > 1. Тогда:

Доказательство. Пусть n = p p · · · p . В лемме 1 из пункта 14 положим q (x)=1/xs - мультипликативная функция. Тогда:

,

,

где значок С , как и ранее означает, что суммирование ведется по всем n > X , в разложении которых нет простых сомножителей, больших Х . Далее, устремляя Х к бесконечности и вспоминая определение функции Мебиуса, получаем:

,

следовательно:

.

Ё

Конечно, пункт 15 получился великоватым, поэтому на экзамене я не буду спрашивать его целиком - радуйтесь, ребятишки! Однако, если вы будете плохо себя вести: плеваться из трубочек на лекциях жеванными бумажками и тащить с пола в рот всякую гадость, то я спрошу на экзамене этот пункт целиком и, как следствие, поставлю двойку.

Завершим этим мажорным аккордом наше знакомство с дзета-функцией, а вместе с этим знакомством завершается и весь третий параграф. Ура!

Задачки

1. Сделайте что угодно, но вычислите z (3), после чего можно пойти погулять.

2 . Докажите, что ряд, составленный из обратных величин к простым числам, встречающимся в арифметической прогрессии 3, 7, 11, 15, 19, 23,..., расходится.

3 . Пусть L ( a ) = ln p для a = p l , где p - простое, l - натуральное; L ( a ) = 0 для остальных натуральных а** . Докажите, что при Re( s ) > 1 выполнено:

.

4 . Пусть Re( s ) > 2. Докажите, что

,

где j ( n ) - функция Эйлера.

5 . Определим вероятность Р того, что k натуральных чисел x 1 , x 2 , …, x k будут взаимно простыми, как предел при N®Ґ вероятности P N того, что будут взаимно простыми k чисел x 1 , x 2 , …, x k , каждому из которых независимо от остальных присвоено одно из значений 1, 2,..., N , принимаемых за равновозможные.*** Докажите, что P=1/z(k).

NS НОВОСТИ СПОРТА

Выдающееся мировое достижение установил пловец Сидоров - 100 метров за 4 секунды. Для достижения этого результата ему пришлось стартовать в верховьях Ниагарского водопада.

Новый мировой рекорд установил Джон Бенсон в ходьбе на пять километров вольным стилем, превзойдя собственное же достижение почти на четыре километра.

 

* Более того, известен поразительный результат Л. Эйлера о том, что предел существует и g»0,5772... . Число g называется теперь постоянной Эйлера.

**Функция L(a) называется функцией Мангольдта - весьма примечательный персонаж в теории чисел, знакомство с которым осталось, к сожалению, за рамками этой книжки.

***Сравните с определением, данным в пункте 3 этой книжки. Обратите внимание, что результат пункта 3 - теорема Чезаро - находится в прекрасном соответствии с утверждением этой задачи: P=6/p2=1/z(2).

Путь к решению этой весьма сложной задачи станет полегче, если вы докажете предварительно следующий факт:

Пусть k>1 и заданы системы x1(1),x2(1),...,xk(1); x1(2),x2(2),...,xk(2); x1(n),x2(n),...,xk(n) целых чисел, не равных одновременно нулю. Пусть, далее, для этих систем однозначно определена некоторая (произвольная) функция f(x1,x2,xk) . Тогда

,

где: m - функция Мебиуса, SС обозначает сумму значений f(x1,x2,...xk), распространенную на системы взаимно простых чисел, Sd обозначает сумму значений f(x1,x2,...xk), распространенную на системы чисел, одновременно кратных d , а d пробегает натуральные числа.

Hosted by uCoz