Home
Contents

Кратко о теории чисел.

Prev Page Next Page
 
§1. Основные понятия и теоремы
Деление с остатком
Наибольший общий делитель
Взаимно простые числа
Алгоритм Евклида
Линейные диофантовы уравнения с двумя неизвестными
Простые числа и
§2. Цепные дроби
Разложение чисел в цепные дроби
Вычисление подходящих дробей
Свойства подходящих дробей
Континуанты. Анализ алгоритма Евклида
Еще кое-что о цепных дробях (приближение чисел, периодичность, теорема Эрмита)
§3. Важнейшие функции в теории чисел
Целая и дробная часть
Мультипликативные функции
Примеры мультипликативных функций
z-функция Римана
§4. Теория сравнений
Определения и простейшие свойства
Полная и приведенная системы вычетов
Теорема Эйлера и теорема Ферма
Сравнения первой степени
Сравнения любой степени по простому модулю
Сравнения любой степени по составному модулю
Сравнения второй степени. Символ Лежандра
Дальнейшие свойства символа Лежандра. Закон взаимности Гаусса
§5. Трансцендентные числа
Мера и категория на прямой
Числа Лиувилля
Число e ~= 2,718281828459045...
Число pi ~= 3,141592653589793...
Трансцендентность значений функции e в степени z
Литература

§4. Теория сравнений


Пункт 21. Сравнения любой степени по составному модулю.

Переход от решения сравнений по простому модулю к a priori более сложной задаче — решению сравнений по составному модулю (переход от пункта 20 к пункту 21) осуществляется быстро и без лишних затей с помощью следующей теоремы:

Теорема 1. Если числа m 1 , m 2 ,… m k попарно взаимно просты, то сравнение f ( x ) є 0(mod m 1 m 2m k ) равносильно системе сравнений:

При этом, если Т 1 , Т 2 , ..., Т к  — числа решений отдельных сравнений этой системы по соответствующим модулям, то число решений Т исходного сравнения равно Т 1 Т 2 ...Т к .

Доказательство. Первое утверждение теоремы (о равносильности системы и сравнения) очевидно, т.к. если a є b (mod m ) , то a є b (mod d ), где d делит m . Если же a є b (mod m 1 ) и a є b (mod m 2 ), то a є b (mod HOK ( m 1 , m 2 )), где НОК ( m 1m 2 )– наименьшее общее кратное m 1 и m 2 . (Вспомните простейшие свойства сравнений из пункта 16).

Обратимся ко второму утверждению теоремы (о числе решений сравнения).

Каждое сравнение f ( x ) є 0(mod m s ) выполняется тогда и только тогда, когда выполняется одно из T s штук сравнений вида x є b s (mod m s ), где b s пробегает вычеты решений сравнения f ( x ) є 0(mod m s ). Всего различных комбинаций таких простейших сравнений

Т 1 Т 2 ...Т к штук. Все эти комбинации, по лемме 2 из пункта 19, приводят к различным классам вычетов по mod( m 1 m 2m k ).

Ё

Итак, решение сравнения сводится к решению сравнений вида f ( x ) є 0(mod p a ). Оказывается, что решение этого последнего сравнения, в свою очередь, сводится к решению некоторого сравнения g ( x ) є 0(mod p ) c другим многочленом в левой части, но уже с простым модулем, а это, просто напросто, приводит нас в рамки предыдущего пункта. Сейчас я расскажу процесс сведения решения сравнения f ( x ) є 0(mod p a ) к решению сравнения g ( x ) є 0(mod p ).

Процесс сведения.

Очевидно, выполнение сравнения f ( x ) є 0(mod p a ) влечет, что х подходит в сравнение f ( x ) є 0(mod p ). Пусть x є x 1 (mod p ) – какое-нибудь решение сравнения f ( x ) є 0(mod p ). Это означает, что

x = x 1 + p Ч t 1 , где t 1 О Z .

Вставим это х в сравнение f ( x ) є 0(mod p 2 ). Получим сравнение

f ( x 1 + p Ч t 1 ) є 0(mod p 2 ),

которое тоже, очевидно, выполняется.

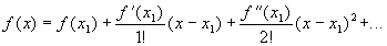
Разложим далее (не пугайтесь!) левую часть полученного сравнения по формуле Тейлора по степеням ( х - х 1 ):

Но, ведь, x = x 1 + p Ч t 1 , следовательно,

.

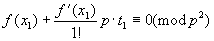
Заметим, что число f ( k ) ( x 1 )/ k ! всегда целое, т.к. f ( x 1 + p Ч t 1 ) — многочлен с целыми коэффициентами. Теперь в сравнении

f ( x 1 + p Ч t 1 ) є 0(mod p 2 )

можно слева отбросить члены, кратные р 2 :

.

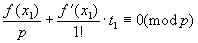
Разделим последнее сравнение и его модуль на р :

.

Заметим, опять, что f ( x 1 )/ p  — целое число, т.к. f ( x 1 ) є 0(mod p ). Далее ограничимся случаем, когда значение производной f ў ( x 1 ) не делится на р . В этом случае имеется всего одно решение сравнения первой степени

относительно t 1 :

t 1 є t 1 С (mod p ).

Это, опять-таки, означает, что t 1 = t 1 С + p Ч t 2 , где t 2 О Z , и

.

Снова вставим это x = x 2 + p 2 t 2 в сравнение f ( x ) є 0(mod p 3 ) (но теперь это сравнение уже по mod p 3 , разложим его левую часть по формуле Тейлора по степеням ( х-х 2 ) и отбросим члены, кратные p 3 :

f ( x 2 ) +( f ў ( x 2 )/1!) Ч p 2 t 2 є 0(mod p 3 ).

Делим это сравнение и его модуль на р 2 :

f ( x 2 )/ p 2 + f ў ( x 2 ) Ч t 2 є 0(mod p ).

Опять-таки f ( x 2 )/ p 2  — целое число, ведь число t 1 С такое, что f ( x 1 + p Ч t 1 С ) є 0(mod p 2 ). Кроме того, x 2 є x 1 (mod p ), значит f ў ( x 2 ) є f ў ( x 1 )(mod p ), т.е. f ў ( x 2 ), как и f ў ( x 1 ), не делится на р . Имеем единственное решение сравнения первой степени f ( x 2 )/ p 2 + f ў ( x 2 ) Ч t 2 ) є 0(mod p ) относительно t 2 :

t 2 є t 2 С (mod p ).

Это, опять-таки, означает, что t 2 = t 2 С + p Ч t 3 , где t 3 О Z , и

и процесс продолжается дальше и дальше, аналогично предыдущим шагам, до достижения степени p a , в которой стоит простое число р в модуле исходного сравнения f ( x ) є 0(mod p a ).

Итак:

Всякое решение x є x 1 (mod p ) сравнения f ( x ) є 0(mod p ), при условии p/ f ў ў ( x 1 ), дает одно решение сравнения f ( x ) є 0(mod p a ) вида x є x a + p a t a , т.е. x є x a (mod p a ).

Ё

Пример. Решить сравнение x 4 +7 x +4 є 0(mod27).

Решение. Весь богатейший педагогический опыт, накопленный человечеством к моменту написания этой книжки, показывает, что наиболее одаренные ученики в состоянии догадаться без посторонней помощи, что 27=3 3 . Далее, получив небольшую подсказку в форме бодрящей мимики и вскриков преподавателя, ученики обычно оказываются в состоянии проверить перебором полной системы вычетов по mod3, что сравнение x 4 +7 x +4 є 0(mod3) имеет всего одно решение x є 1(mod3). По поводу дальнейших возможностей учеников ничего определенного спрогнозировать нельзя, но последующий процесс решения, в идеале, должен быть таким:

f ў ( x )=(4 x 3 +7) Ѕ x є 1 є 2(mod3),

т.е. не делится на р = 3. Далее:

x 1 =1+3 Ч t 1

f (1)+ f ў (1) 3 Ч t 1 є 0(mod3 2 )

Ищем t 1 :

3+3 t 1 Ч 2 є 0(mod9),

после деления на р =3:

1+2 t 1 є 0(mod3),

t 1 є 1(mod3)

- единственное решение. Далее:

t 1 =1+3 t 2 ,

x =1+3 t 1 =4+9 t 2 ,

f (4)+9 Ч t 2 Ч f ў (4) є 0(mod p 3 =27),

18+9 Ч 20 Ч t 2 є 0(mod27),

и, после деления на p 2 =9, ищем t 2 :

2+20 t 2 є 0(mod3),

t 2 є 2(mod3),

t 2 =2+3 t 3 ,

откуда

x =4+9 Ч (2+3 t 3 )=22+27 t 3 .

Значит, единственным решением исходного сравнения является x є 22(mod27).

Ё

Следующая теорема относится к специфическому, но весьма приятному виду сравнений.

Теорема 2. Пусть A , m , n - натуральные числа; ( A , m )=1 ,

x є x 0 (mod m ) — одно из решений сравнения

x n є A (mod m ).

Тогда все решения этого сравнения получаются умножением x 0 на вычеты решений сравнения y n є 1(mod m ).

Доказательство. Перемножим сравнения:

откуда видно, что x 0 y  — решения сравнения x n є A (mod m ).

Если теперь , то . Действительно, предположим, что x 0 y 1 є x 0 y 2 (mod m ). Очевидно, что ( x 0 , m )=1, т.к. иначе было бы:

x 0 = d Ч x 0 С , m = d Ч m С ,

x 0 = d n ( x 0 С ) n є A (mod d m С ),

cледовательно d делит А и делит m , что противоречит взаимной простоте А и m . Значит ( x 0 , m )=1 и сравнение x 0 y 1 є x 0 y 2 (mod m )

можно поделить на x 0 : y 1 є y 2 (mod m ) — а это противоречит исходному предположению. Таким образом, для разных y 1 и y 2 , получаются разные решения.

Осталось убедиться, что каждое решение сравнения x n є A (mod m ) получается именно таким способом. Имеем:

x n є A (mod m )

x 0 n є A (mod m ),

следовательно, x n є x 0 n (mod m ). Возьмем число y такое, что x є y Ч x 0 (mod m ). Тогда y n x 0 n є x 0 n (mod m ), т.е. y n є 1(mod m ).

Ё

Пункт с номером 21 (очко!) закончен.

Задачки

1. Сколько решений имеет сравнение x 5 + x +1 є 0(mod105) ?

2. Решите сравнения:
а) 7 x 4 +19 x +25 є 0(mod27);
б) 9 x 2 +29 x +62 є 0(mod64);
в) 6 x 3 +27 x 2 +17 x +20 є 0(mod30);
г) 31 x 4 +57 x 3 +96 x +191 є 0(mod225);
д) x 3 +2 x +2 є 0(mod125);
е) x 4 +4 x 3 +2 x 2 +2 x +12 є 0(mod625).

NS НОВОСТИ КУЛЬТУРЫ

Всем известно, что курение мешает занятиям спортом. Ученые установили, что, в свою очередь, занятия спортом не дают по-человечески покурить.

Новости микрохирургии. Опять потерялся микрохирург Петров.

Hosted by uCoz