Home
Contents

Кратко о теории чисел.

Prev Page Next Page
 
§1. Основные понятия и теоремы
Деление с остатком
Наибольший общий делитель
Взаимно простые числа
Алгоритм Евклида
Линейные диофантовы уравнения с двумя неизвестными
Простые числа и
§2. Цепные дроби
Разложение чисел в цепные дроби
Вычисление подходящих дробей
Свойства подходящих дробей
Континуанты. Анализ алгоритма Евклида
Еще кое-что о цепных дробях (приближение чисел, периодичность, теорема Эрмита)
§3. Важнейшие функции в теории чисел
Целая и дробная часть
Мультипликативные функции
Примеры мультипликативных функций
z-функция Римана
§4. Теория сравнений
Определения и простейшие свойства
Полная и приведенная системы вычетов
Теорема Эйлера и теорема Ферма
Сравнения первой степени
Сравнения любой степени по простому модулю
Сравнения любой степени по составному модулю
Сравнения второй степени. Символ Лежандра
Дальнейшие свойства символа Лежандра. Закон взаимности Гаусса
§5. Трансцендентные числа
Мера и категория на прямой
Числа Лиувилля
Число e ~= 2,718281828459045...
Число pi ~= 3,141592653589793...
Трансцендентность значений функции e в степени z
Литература

§4. Теория сравнений


Пункт 22. Сравнения второй степени. Символ Лежандра.

В этом пункте мы будем подробно рассматривать простейшие двучленные сравнения второй степени вида

x 2 є a (mod p ),

где а и р взаимно просты, а р - нечетное простое число. (Традиционная фраза “нечетное простое число”, на мой взгляд, несколько странновата. Глядя на нее, можно подумать, что четных простых чисел - пруд пруди, а она, всего-навсего, убирает из рассмотрения только число р =2.) Обратите внимание, что условие взаимной простоты ( а, р )=1 исключает из нашего рассмотрения случай а =0.

Почему мы хотим исключить из дальнейших рассмотрений эти случаи? Нас будет интересовать вопрос, при каких а простейшее двучленное сравнение второй степени имеет решение, а при каких – не имеет. Ясно, что сравнение x 2 є a (mod 2) имеет решение при любых а , т.к. вместо а достаточно подставлять только 0 или 1, а числа 0 и 1 являются квадратами. Именно поэтому случай р =2 не представляет особого интереса и выводится из дальнейшего рассмотрения вышенаписанной странноватой фразой.

(Искушенный алгебраист объяснил бы эту ситуацию так: - всякий элемент любого поля характеристики 2 является квадратом, т.к. отображение x ® x 2 есть автоморфизм такого поля.)

Что касается сравнения x 2 є 0(mod p ), то оно, очевидно, всегда имеет решение х =0. Итак, интерес представляет только ситуация с нечетным простым модулем и а 0, поэтому далее мы будем трудиться только в рамках оговоренных ограничений.

Определение. Если сравнение x 2 є a (mod p ) имеет решения, то число а называется квадратичным вычетом по модулю р . В противном случае, число а называется квадратичным невычетом по модулю р .

Чтобы понять явление, надо сделать на него пародию. Всю стилистическую прелесть подобного определения (между прочим, общепринятого) и, в особенности, очарование содержащегося в нем термина “невычет” (в слитном написании), поможет прочувствовать аналогичная дефиниция: маленькое и жесткое хлебобулочное изделие тороидальной формы называется сушка. В противном случае, оно называется несушка. Впрочем, стилистических казусов в традиционной математической терминологии довольно много, например: нормальная подгруппа – ненормальная подгруппа, невязка – вязка и т.п.

Итак, если а – квадрат некоторого числа по модулю р , то а -“квадратичный вычет”, если же никакое число в квадрате не сравнимо с а по модулю р , то а - “квадратичный невычет”. Смиримся с этим.

Пример. Число 2 является квадратом по модулю 7 , т.к.

4 2 є 16 є 2(mod7). Значит, 2 - квадратичный вычет. (Сравнение x 2 є 2(mod7) имеет еще и другое решение: 3 2 є 9 є 2(mod7).) Напротив, число 3 является квадратичным невычетом по модулю 7 , т.к. сравнение x 2 є 3(mod7) решений не имеет, в чем нетрудно убедиться последовательным перебором полной системы вычетов: x = 0,1,2,3,4,5,6.

Простое наблюдение: Если а - квадратичный вычет по модулю р , то сравнение x 2 є a (mod p ) имеет в точности два решения. Действительно, если а - квадратичный вычет по модулю р , то у сравнения x 2 є a (mod p ) есть хотя бы одно решение x є x 1 (mod p ). Тогда x 2 = - x 1 – тоже решение, ведь (- x 1 ) 2 =x 1 2 . Эти два решения не сравнимы по модулю р >2 , так как из x 1 є - x 1 (mod p ) следует 2 x 1 є 0(mod p ), т.е. (поскольку р 2) x 1 є 0(mod p ), что невозможно, ибо а 0.

Поскольку сравнение x 2 є a (mod p ) есть сравнение второй степени по простому модулю, то больше двух решений оно иметь не может (см. пункт 20, лемма 2).

Еще одно простое наблюдение: Приведенная (т.е. без нуля) система вычетов

–  p-1
2
,...,-2,-1,1,2,..., p-1
2

по модулю р состоит из ( p -1)/2 квадратичных вычетов, сравнимых с числами 1 2 ,2 2 ,…,(( p -1)/2) 2 , и ( p -1)/2 квадратичных невычетов, т.е. вычетов и невычетов поровну.

Действительно, квадратичные вычеты сравнимы с квадратами чисел

–  p-1
2
,...,-2,-1,1,2,..., p-1
2

т.е. с числами 1 2 ,2 2 ,…,(( p -1)/2) 2 , при этом все эти квадраты различны по модулю р , ибо из k 2 є l 2 (mod p ), где 0< k < l Ј ( p -1)/2, следует, что нетривиальное сравнение x 2 є k 2 (mod p ) имеет аж четыре решения: l, –l, k, –k , что невозможно (см. пункт 20, лемма 2).

(Искушенный алгебраист опять-таки сказал бы больше: - квадраты (исключая 0) любого поля конечной характеристики, большей двух, образуют подгруппу индекса 2 мультипликативной группы этого поля. Эта подгруппа есть ядро эндоморфизма x ® x ( p -1)/2 . Если есть желание, проверьте это утверждение самостоятельно. )

Согласитесь, что фраза “ Число а является квадратичным вычетом (или невычетом) по модулю р “ несколько длинновата, особенно если ее приходится часто употреблять при доказательстве какого-либо утверждения. В свое время божественная длиннота этой фразы тревожила и знаменитого французского математика Адриена-Мари Лежандра (того самого, который имеет прямое отношение к ортогональным полиномам и многим другим математическим открытиям, но, по-видимому, не имеет никакого отношения к развитию футбола в странах Карибского бассейна). Он предложил изящный выход, введя в рассмотрение удобный символ ( a / p ), заменяющий длинную фразу. Этот символ носит теперь фамилию Лежандра и читается: “символ Лежандра а по пэ”.

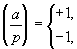
Определение. Пусть а не кратно р . Тогда символ Лежандра определяется как:

если а - квадратичный вычет по модулю р .

если а - квадратичный невычет по модулю р .

Оказывается, что символ Лежандра есть не просто удобное обозначение. Он имеет много полезных свойств и глубокий смысл, уходящий корнями в теорию конечных полей. Далее в этом пункте мы рассмотрим некоторые простейшие свойства символа Лежандра и, прежде всего, научимся его вычислять ( т.е. , тем самым, научимся отвечать на вопрос, проставленный в начале пункта: при каких а простейшее двучленное сравнение второй степени имеет решение, а при каких – не имеет ? ).

Теорема. (Критерий Эйлера) Пусть а не кратно р . Тогда:

a ( p -1)/2 є ( a / p )(mod p ).

Доказательство. По теореме Ферма, a p -1 є 1(mod p ) т.е.

. В левой части последнего сравнения в точности один сомножитель делится на р , ведь оба сомножителя на р делиться не могут, иначе их разность, равная двум, делилась бы на р >2. Следовательно, имеет место одно и только одно из сравнений:

a ( p -1)/2 є 1(mod p )

a ( p -1)/2 є -1(mod p )

Но всякий квадратичный вычет а удовлетворяет при некотором х сравнению a є x 2 (mod p ) и, следовательно, удовлетворяет также получаемому из него почленным возведением в степень ( p -1)/2 сравнению

a ( p -1)/2 є x p-1 є 1(mod p ) (опять теорема Ферма). При этом, квадратичными вычетами и исчерпываются все решения сравнения

a ( p -1)/2 є 1(mod p ), т.к., будучи сравнением степени ( p -1)/2, оно не может иметь более ( p -1)/2 решений. Это означает, что квадратичные невычеты удовлетворяют сравнению a ( p -1)/2 є -1(mod p )

Ё

(Свойство a ( p -1)/2 є ( a / p )(mod p ), даваемое критерием Эйлера, можно было бы сразу принять за определение символа Лежандра, показав, конечно, предварительно, с помощью теоремы Ферма, что a ( p -1)/2 є ± 1(mod p ) Именно так частенько и поступают в книжках по теории конечных полей.)

Пример. Крошка-сын к отцу пришел, и спросила кроха: “Будет ли число 5 квадратом по модулю 7 ?”. Гигант-отец тут же сообразил:

5 (7-1)/2 =5 3 =125=18 Ч 7-1 є -1(mod7),

т.е. сравнение x 2 є 5(mod7) решений не имеет и 5 - квадратичный невычет по модулю 7. Кроха-сын, расстроенный, пошел на улицу делиться с друзьями полученной информацией.

Перечислим далее, кое-где доказывая или комментируя, простейшие свойства символа Лежандра.

Свойство 1. Если a є b (mod p ), то ( a / p )=( b / p ).

Это свойство следует из того, что числа одного и того же класса по модулю р будут все одновременно квадратичными вычетами либо квадратичными невычетами.

Свойство 2. (1/ p )=1.

Доказательство очевидно, ведь единица является квадратом.

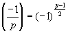
Свойство 3.
.

Доказательство этого свойства следует из критерия Эйлера при а =-1. Так как ( p -1)/2 – четное, если р вида 4 n +1, и нечетное, если р вида 4 n +3, то число -1 является квадратичным вычетом по модулю р тогда и только тогда, когда р вида 4 n +1.

Свойство 4.
.

Действительно,
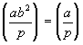
. Cвойство 4, очевидно, распространяется на любое конечное число сомножителей в числителе символа Лежандра, взаимно простых с р . Кроме того, из него следует

Свойство 5. , т.е. в числителе символа Лежандра можно отбросить любой квадратный множитель. Действительно:

Запомним хорошенько эти пять перечисленных простейших свойств символа Лежандра и устремимся дальше, в пункт 23, где нам раскроются свойства более сложные и глубокие, поразительные и загадочные. Вперед!

Задачки

1. Среди вычетов приведенной системы по модулю 37 укажите квадратичные вычеты и квадратичные невычеты.

2. Посчитайте символ Лежандра, умело пользуясь его свойствами:
а) (20/7); б) (200/43); в) (1601600/839).

3. С помощью критерия Эйлера установите, имеет ли решение сравнение x 2 є 5(mod13)?

4. С помощью символа Лежандра установите, имеют ли решения сравнения:
а) x 2 є 22(mod13);
б) x 2 є 239(mod661);
в) x 2 є 412(mod421) ?

5. Решите сравнения:
а) x 2 є 7(mod137);
б) x 2 є 23(mod101).

6. Докажите, что:
а) сравнение x 2 +1 є 0(mod p ) разрешимо тогда и только тогда, когда р - простое число вида 4 m +1;
б) сравнение x 2 +2 є 0(mod p ) разрешимо тогда и только тогда, когда р - простое число вида 8 m +1 или вида 8 m +3;
в) сравнение x 2 +3 є 0(mod p ) разрешимо тогда и только тогда, когда р - простое число вида 6 m +1.

7. Умело используя теорему Вильсона, докажите, что решениями сравнения x 2 +1 є 0(mod p ), где р - простое число вида 4 m +1, являются числа x 1,2 є ± (2 m )!(mod p ) и только они.

8. Докажите, что сравнение x 2 є a (mod p a ), где a >1, р >2, имеет два решения или же ни одного, в зависимости от того, будет ли число а квадратичным вычетом или же невычетом по модулю р .

9. Исследуйте самостоятельно сравнение вида x 2 є a (mod2 a ), a >1.
При каких условиях на числа а и a это сравнение имеет решения и сколько оно их имеет? Найдите эти решения.

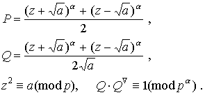
10. Докажите, что решениями сравнения x 2 є a (mod p a ), где ( a , p )=1, р >2, будут числа x є ± PQN (mod p a ), где

11. Докажите, что число различных разложений натурального числа n на сумму квадратов двух целых чисел равно учетверенному избытку числа делителей n вида 4 k +1 над числом делителей вида 4 k +3 . * )

Hosted by uCoz