Home
Contents

Кратко о теории чисел.

Prev Page Next Page
 
§1. Основные понятия и теоремы
Деление с остатком
Наибольший общий делитель
Взаимно простые числа
Алгоритм Евклида
Линейные диофантовы уравнения с двумя неизвестными
Простые числа и
§2. Цепные дроби
Разложение чисел в цепные дроби
Вычисление подходящих дробей
Свойства подходящих дробей
Континуанты. Анализ алгоритма Евклида
Еще кое-что о цепных дробях (приближение чисел, периодичность, теорема Эрмита)
§3. Важнейшие функции в теории чисел
Целая и дробная часть
Мультипликативные функции
Примеры мультипликативных функций
z-функция Римана
§4. Теория сравнений
Определения и простейшие свойства
Полная и приведенная системы вычетов
Теорема Эйлера и теорема Ферма
Сравнения первой степени
Сравнения любой степени по простому модулю
Сравнения любой степени по составному модулю
Сравнения второй степени. Символ Лежандра
Дальнейшие свойства символа Лежандра. Закон взаимности Гаусса
§5. Трансцендентные числа
Мера и категория на прямой
Числа Лиувилля
Число e ~= 2,718281828459045...
Число pi ~= 3,141592653589793...
Трансцендентность значений функции e в степени z
Литература

§5. Трансцендентные числа.


Пункт 25. Числа Лиувилля.

Определение 1. Число zОC называется алгебраическим, если оно является корнем некоторого алгебраического уравнения

anzn+...+a2z2+a1z1+a0=0

все коэффициенты a0,a1,...,an которого суть целые числа, не равные одновременно нулю.

Безусловно, множество алгебраических чисел не изменится, если в определении 1 коэффициентам алгебраического уравнения позволить быть произвольными рациональными числами, но нам удобнее пока считать эти коэффициенты целыми.

Определение 2. Степенью алгебраического числа называется наименьшая степень уравнения с целыми коэффициентами, которому это число удовлетворяет.

Пример. Число Ц2- алгебраическое степени 2 , так как оно есть корень уравнения x2-2=0, но не является корнем никакого уравнения степени 1 с целыми коэффициентами. Действительно, если aЦ2+b=0, то Ц2=-b/a=m/n и пусть m/n - несократимая дробь. Следовательно, 2n2=m2, т.е. m - четно, m=2k, 2n2=4k2, n2=2k2, значит n - четно, что противоречит несократимости дроби m/n.

Теорема 1. Множество А всех алгебраических чисел счетно.

Доказательство. Для любого многочлена с целыми коэффициентами anzn+...+a2z2+a1z1+a0, an0 определим натуральное число

– вес этого многочлена. Очевидно, что для любого заданного веса р существует лишь конечное число многочленов, имеющих такой вес. Следовательно, многочленов с целыми коэффициентами счетное число, и, поскольку каждый многочлен имеет лишь конечное число корней, множество А всех алгебраических чисел счетно.

Ё

Из этой простенькой теоремы, открытой Георгом Кантором, вытекает

Следствие. Существует аж целый континуум неалгебраических чисел!

Следствие вытекло.

Определение2. Число a О R, не являющееся алгебраическим, называется трансцендентным.

Теорема 1 эффектна, изящна и проста, поэтому трудно ожидать от нее каких-то реальных конструктивных следствий. Она лишь утверждает существование трансцендентных чисел, но не дает ни одного конкретного примера. Исторически первый пример трансцендентного числа построил, как уже отмечалось, в 1844 году некто Лиувилль, и мы сейчас приступаем к воспроизведению произведения этого выдающегося французского некто.

Лемма (Лиувилль). Для любого действительного алгебраического числа z степени n>1 (т.е. иррационального) найдется натуральное число М такое, что

при всех целых р и q, q>0.

Доказательство. Пусть f(x) - тот самый многочлен степени n с целыми коэффициентами, для которого f(z)=0. Поскольку производная f '(x) многочлена f(x) есть функция если не глупая, то уж точно ограниченная на отрезке |z-x|Ј1, то найдется такое натуральное число М , что |f '(x)|ЈM для всех х из отрезка |z-x|Ј1. По теореме о среднем значении:

|f(x)|=|f(z)-f(x)|ЈMЧ|z-x|.

Возьмем теперь любые два целых числа р и q, q>0 и вспомним, что нужно показать

.

Очевидно, что это верно при |z - p/q|>1, т.к. Mі1, qі1. Пусть |z - p/q|Ј1. Тогда

|f(p/q)|ЈMЧ|z - p/q|.

Умножим полученное неравенство на qn:

|qnf(p/q)|ЈMЧqnЧ|z - p/q|.

Ясно, что уравнение f(x)=0 не имеет рациональных корней, иначе число z имело бы меньшую степень (многочлен f(x) разложился бы на множители, один из которых суть (x - p/q), а иррациональное z оказалось бы корнем второго множителя меньшей степени). Таким образом, f(p/q)0, а qnf(p/q) – целое и не равное нулю число. Значит, |qnf(p/q)|і1, следовательно,

1ЈMЧqnЧ|z - p/q| т.е.

|z - p/q|і 1/Mqn.

Равенство невозможно, так как z иррационально.

Ё

Трудно объяснить, но меня почему-то приводит в восхищение последняя фраза из доказательства леммы Лиувилля: "Равенство невозможно, так как z иррационально"  - кратко, просто и неоспоримо. Сказал - как отрезал. Кроме того, к моменту произнесения этой фразы читатели уже наверняка забыли (во всяком случае, студенты на лекции напрочь забывают), что нужно доказывать строгое неравенство, поэтому "нежданной шуткой огорошить" вдвойне приятно.

В параграфе 2, посвященном цепным дробям, мы немножечко поговорили о приближении действительных чисел рациональными дробями, отметив, в частности, что подходящая дробь - наилучшее приближение данного числа среди всех дробей, знаменатели которых не превосходят знаменатель подходящей дроби. Лемма Лиувилля тоже, фактически, относится к теории приближения действительных чисел рациональными, так как она говорит нам, что алгебраические числа весьма плохо приближаются рациональными дробями с заданным знаменателем. Возникает мысль, что именно этим своим свойством алгебраические числа вполне могут отличаться (и отличаться разительно) от других иррациональных чисел, если, конечно, таковые существуют. Идея, ударившая Лиувилля, как раз и заключалась в том, чтобы рассмотреть утверждение леммы как отличительное характеристическое свойство алгебраических иррациональностей. После этой простой, но сильной мысли, Лиувиллю для изобретения трансцендентных чисел оставалось совсем немного - придумать иррациональное число, которое очень хорошо приближается рациональными дробями, и проверить, что такое число обязано быть трансцендентным.

Определение 3. Действительное число z называется числом Лиувилля, если z иррационально и для каждого натурального n существуют целые p и q такие, что q>1 и

|z - p/q|<.

Пример 1 (с помощью ряда). Рассмотрим число

 - в десятичной дроби единички стоят на месте с номером k!, остальные позиции заняты нулями. Число z иррационально, т.к. данная десятичная дробь не периодическая ( Действительно, пусть ее период имеет длину а . Он должен содержать хоть одну единичку, но в записи этой дроби есть промежутки, состоящие из а нулей подряд.)

Пусть nОN. Возьмем

.

Тогда:

– рациональное число,

так как nЧn!<(n+1)!=(n+1)Чn!. Итак, z - число Лиувилля.

Пример 2 (с помощью цепной дроби). Пусть

,

где последовательность неполных частных q1<q2<...<qs<... возрастает так, что qs+1іQss-2 (Qs – знаменатель s-ой подходящей дроби числа z ). Тогда для произвольного натурального n возьмем в определении чисел Лиувилля p=Pn, q=Qn и вспомним свойства подходящих дробей:

.

Итак, z опять-таки окажется числом Лиувилля, как только я приведу пример достаточно быстро возрастающей последовательности q1<q2<...<qs<... неполных частных. Нужно, чтобы qs+1іQss-2. Положим q1=0, q2=1, и начнем заполнять стандартную таблицу, вычисляя Qs через уже вычисленные qsи qs-1, а затем ставя на место qs+1 число Qss-2:

n   1 2 3 4 5 6 7 ...
qn   0 1 1 Q31=2 Q42=25 Q53=2048388 Q64=... ...
Qs 0 1 1 2 5 127 260145281 ... ...

Вторая строчка получающейся таблицы как раз и содержит требуемую последовательность.

Используя известную формулу Стирлинга для факториалов больших чисел

, можно доказать, что скорость роста построенной последовательности ~nn, т.е. очень большая. Обратите внимание, что в примере 1 скорость роста знаменателей была того же порядка.

Теорема 2. Любое число Лиувилля трансцендентно.

Доказательство. Ну пусть некоторое число Лиувилля z оказалось алгебраическим степени n . Тогда n>1 , т.к. z - иррационально. По лемме Лиувилля найдется такое натуральное М , что

|z - p/q|>1/Mqn

для всех целых p, q и q>0 . Пусть kО N таково, что 2k>2nM. Так как z  - число Лиувилля, то для этого k найдутся p и q , qі2,

(тонкий момент! Целое число q - не ноль! И не единица! Значит - не меньше двух!)

такие, что

|z - p/q|< 1/qk,

следовательно,

1/qk > 1/Mqn,

Mqn>qk,

и, после деления на qn,

M>qk-nі2k-n>M

 - противоречие.

Ё

Вот так, дорогие товарищи, получается, что числа из примеров

1 и 2 - самые что ни на есть трансцендентные. Посмотрите на них внимательно и поуважайте их - ни один многочлен с целыми коэффициентами не может обратить их в нуль, настолько они тверды и по-революционному непоколебимы. Из примера 2 видно, что цепная дробь представляет собой число Лиувилля, если последовательность неполных частных растет очень быстро. Однако это лишь достаточное условие трансцендентности цепной дроби, но вовсе не необходимое. Зияющая пустота наших знаний о природе-матушке в этом круге вопросов состоит в том, что до сих пор никто не может доказать необходимость быстрого возрастания неполных частных, и, напротив, не известно ни одного примера трансцендентного числа, цепная дробь которого имела бы, например, ограниченную последовательность неполных частных. Дерзайте, отроки! Проясните эти вопросы и Ваше имя золотыми буквами будет грядущее протыкать.

Перейдем теперь к вопросу о величии множества Е всех чисел Лиувилля. Ясно, что

,

где Q'– дополнение до множества рациональных чисел, а

– объединение интервалов.

Теорема 3. Е  - нуль-множество второй категории, а E' - множество первой категории.

Доказательство. Сначала категория. Gn– объединение интервалов, все числа вида p/q, qі2 входят в Gn, следовательно QМGn и Gn– плотное и открытое. Значит, дополнение G'n нигде не плотно и

 - множество первой категории. Следовательно, Е  - всюду плотно (как дополнение множества первой категории) и само второй категории.

Теперь мера. Для любого натурального n

EНGn.

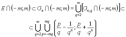
Рассмотрим множества

,

где q = 2, 3, ...

Фиксируем натуральные m и n . Имеем:

Это означает, что

можно покрыть интервалами, суммарная длина которых есть:

Таким образом,

- нуль-множество, значит и

 - нуль-множество.

Ё

Теорема 3, дорогие читатели, как раз и дает обещанный в предыдущем пункте конкретный пример разбиения числовой прямой на два множества R=EИE', первое из которых - меры нуль но второй категории, а второе - первой категории. Не перепутайте первую со вторым, а второе с первым. Считаю краткую экскурсию в мир чисел Лиувилля законченой.

Задачки

1. Выпишите все многочлены с целыми коэффициентами веса 4. Сколько их ?

2. Докажите иррациональность числа Ц2+Ц2ч2+2=0 являются алгебраическими числами. Найдите их степень.

5. Докажите, что все корни многочлена f(x)=x5-3x2+12x-6 – алгебраические числа пятой степени.*)

6. Для числа z=(1+Ц5)/2 найдите натуральное М такое, что

|z - p/q| > 1/Mqn

при всех целых р и q, q>0.

7. Докажите, что число

является числом Лиувилля.

8. Докажите, что число

является числом Лиувилля.

9. Докажите, что множество Евсех чисел Лиувилля имеет нулевую s-мерную меру Хаусдорфа при любом s>0 .**)

NS ИНФОРМАЦИЯ

Поделился своими творческими планами художник Илья Глазунов. К 2000 году он планирует завершить эпохальное полотно "Вакуум" и батальную панораму штурма Лиувилля.

До сих пор не завершились соревнования по спортивному ориентированию. Все еще не вышла из леса команда Польши, которую завел туда в 1613 году один местный проводник.

В кинотеатрах города демонстрируется французский эротический художественный фильм "Мегре колеблется".


*Рекомендую воспользоваться критерием Эйзенштейна неприводимости многочлена над полем рациональных чисел.

**Определение меры Хаусдорфа смотри в задаче 9 предыдущего пункта. Очевидно, что утверждение настоящей задачи 9 является усилением утверждения теоремы 3 этого пункта о том, что Е является нуль-множеством

Hosted by uCoz