Home
Contents

Кратко о теории чисел.

Prev Page Next Page
 
§1. Основные понятия и теоремы
Деление с остатком
Наибольший общий делитель
Взаимно простые числа
Алгоритм Евклида
Линейные диофантовы уравнения с двумя неизвестными
Простые числа и
§2. Цепные дроби
Разложение чисел в цепные дроби
Вычисление подходящих дробей
Свойства подходящих дробей
Континуанты. Анализ алгоритма Евклида
Еще кое-что о цепных дробях (приближение чисел, периодичность, теорема Эрмита)
§3. Важнейшие функции в теории чисел
Целая и дробная часть
Мультипликативные функции
Примеры мультипликативных функций
z-функция Римана
§4. Теория сравнений
Определения и простейшие свойства
Полная и приведенная системы вычетов
Теорема Эйлера и теорема Ферма
Сравнения первой степени
Сравнения любой степени по простому модулю
Сравнения любой степени по составному модулю
Сравнения второй степени. Символ Лежандра
Дальнейшие свойства символа Лежандра. Закон взаимности Гаусса
§5. Трансцендентные числа
Мера и категория на прямой
Числа Лиувилля
Число e ~= 2,718281828459045...
Число pi ~= 3,141592653589793...
Трансцендентность значений функции e в степени z
Литература

§5. Трансцендентные числа.


Пункт 26. Число e≈2,718281828459045...

Матушка-природа подарила нам несколько замечательных констант, весьма неожиданно появляющихся при попытках математического выражения и записи законов разных наук. С одной из таких констант - “основанием натуральных логарифмов” - мы познакомимся поближе в этом пункте.

Когда-то давно я учился в средней школе № 110 г. Свердловска. В школе нам страшно повезло - судьба послала нам великого учителя, сухощавого математика на железной ноге Николая Ивановича Слободчакова, по прозвищу “Колываныч”. Самым загадочным образом хулиганы и двоечники становились у него отличниками, а математика - любимым предметом. Еще в восьмом классе Колываныч говорил нам: “Дети! Запомните, что основание натуральных логарифмов обозначается буквой e в честь Леонарда Ейлера, а запомнить его десятичные знаки очень просто. Два и семь - помнят все. Дальше - 1828, - год рождения Льва Николаевича Толстого. Дальше - снова 1828, - год рождения Жюль Верна, а если вы тупые, то - опять год рождения Толстого. Потом идут углы равнобедренного прямоугольного треугольника - 45, 90, 45. А что идет потом - я сам не знаю...”. Потом Николай Иванович доказал нам, что 2<e<3 и загробным голосом сказал: ” Число e - трансцендентно!”. Этим словом мы потом обзывались на переменках. Когда я поступил в университет, я узнал, что

;
;
e - основание показательной функции, являющейся
решением задачи Коши: yў =y, y(0)=1;

и многое многое другое. Вразумительный ответ на вопрос, почему именно число e наиболее естественно взять за основание логарифмов, которые с таким основанием сразу становятся натуральными и пригодными к употреблению даже в период беременности, я нашел в книжке Ф. Клейна “Элементарная математика с точки зрения высшей”, том 1 , “Арифметика, алгебра, анализ”. Настоятельно советую ее прочитать, так как считаю, что с подобными книжками должен быть знаком каждый мало-мальски грамотный математик, ибо такие книжки составляют золотой фонд литературы о любимой нами науке.

Ряд сходится быстро (чего нельзя сказать про известные ряды, например, для числа p). Это значит, что частичные суммы ряда , будучи рациональными числами, очень хорошо приближают число e, поэтому естественно ожидать, что трансцендентность e удастся доказать относительно легко (а исследование природы числа p потребует гораздо больших усилий). Эти эвристические соображения действительно находят свое подтверждение на практике, но не будем торопить события и начнем по порядку.

Теорема 1. Число e иррационально.

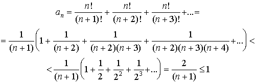
Доказательство. Рассмотрим числа

и
.

Очевидно, что AnО N, an>0. Оценим an сверху:

Итак, 0<an<1, т.е. an - всегда дробное число. Это означает, что при любом натуральном n, число n!e=An+an не является целым.

Пусть теперь e=p/q - рациональное число, p, qОN. Тогда q!e=q!p/q=(q-1!p) - целое число, что вопиюще противоречит факту, установленному тремя строчками выше.

Ё

Для доказательства трансцендентности героя этого пункта потребуются две леммы.

Лемма 1. Если g(x) – многочлен с целыми коэффициентами, то для любого kОN все коэффициенты его k-ой производной g(k)(x) делятся на k! .

Доказательство. Так как оператор d/dx линейный, то утверждение леммы достаточно проверить только для многочленов вида g(x)=xs, sі 0.

Если k>s, то g(k)(x)є 0 и k!|0.

Если kЈ s, то

биномиальный коэффициент (sk) является целым числом и g(k)(x) опять-таки делится на k! нацело.

Ё

Ключевая идея доказательства трансцендентности числа e принадлежит Шарлю Эрмиту. Впрочем, идея Эрмита сработала и при доказательстве трансцендентности числа p, а также некоторых других чисел специального вида, но это уже заслуга других математиков. А трансцендентность непосредственно числа e доказал Эрмит в 1873 году и это был исторически первый решительный прорыв в познание природы замечательных констант. Слава Эрмиту!!!!! (Это четыре восклицательных знака и один факториал.)

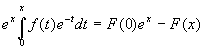
Лемма 2 (Тождество Эрмита). Пусть f(x) - произвольный многочлен степени k с действительными коэффициентами,

F(x)=f(x)+ fў (x)+ fў ў (x)+…+ f(k)(x) - сумма всех его производных. Тогда для любого действительного (и даже комплексного, но нам это пока не понадобится) x выполнено:

(Є)

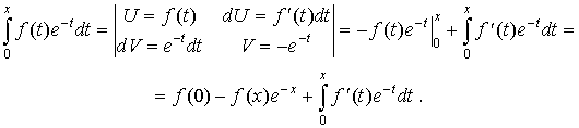
Доказательство. Интегрируем по частям:

Интеграл снова подвергнем процедуре интегрирования по частям, потом этой прцедуре подвергнем интеграл и так далее. Терпеливо повторив эту процедуру всего k+1 раз, получим:

Ё

Теорема 2 (Эрмит, 1873). Число е трансцендентно.

Доказательство. От противного. Ну пусть е - алгебраическое, степени m. Тогда

amem+…+a1e+a0=0

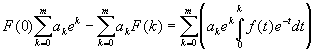
для некоторого натурального m и некоторых целых am,…a1,a0, причем, очевидно, am 0 и a0 0. Подставим в тождество Эрмита (Є) вместо х целое число k, попросим k принимать по очереди значения 0, 1, ... , m; умножим каждое равенство

соответственно на ak, а затем все их сложим. Получим:

Так как (это наше противное предположение), то выходит, что для любого многочлена f(x) должно быть выполнено равенство:

(ЄЄ)

Противоречие, которое углядел Эрмит в этом равенстве, сразу и не заметишь. Но Эрмит на то и Эрмит, чтобы превосходить интеллектом 15756 наугад вместе взятых китайцев и двух Мао Цзэ-дунов. Он сначала сердцем почуял, а потом и мозгами воткнулся, что за счет подходящего выбора многочлена f(x) можно сделать левую часть (ЄЄ) ненулевым целым числом, а правая часть при этом окажется между нулем и единицей.

Возьмем многочлен , где n определим позже (nО N, и n будет очень большое).

Число 0 - корень кратности n-1 многочлена f(x), числа 1, 2, ..., m - корни кратности n, следовательно:

f(l)(0)=0, l=1,2,…,n-2
f(n-1)(0)=(-1)mn(m!)n
f(l)(k)=0, l=0,1, …,n-1; k=1,2,…,m

Рассмотрим j (x)=xn-1(x-1)n(x-2)n…(x-m)n - многочлен, ужасно похожий на f(x), но с целыми коэффициентами. По лемме 1, коэффициенты j (l)(x) - целые числа, делящиеся на l!, следовательно, при l і n, у производной j(l)(x) все коэффициенты - целые числа, делящиеся на n, т.к. j(l)(x) получается из j (l)(x) делением только на (n–1)! . Именно поэтому

где А – подходящее целое число, а над знаком суммы стоит число (m+1)n-1 - степень многочлена f(x) и, хоть суммировать можно и до бесконечности, ненулевых производных у f(x) именно столько.

Аналогично

где Bk – подходящие целые числа, k = 1, 2, ..., m.

Пусть теперь nО N - любое целое число, удовлетворяющее условиям:

Снова рассмотрим равенство (ЄЄ):

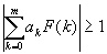
В сумме слева все слагаемые - суть целые числа, причем akF(k) при k = 1, 2, ..., m делится на n, а a0F(0) на n не делится. Это означает, что вся сумма, будучи целым числом, на nне делится, т.е. не является нулем. Следовательно,

Уф-ф!

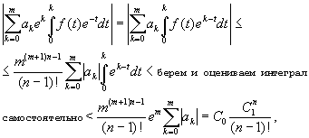
Оценим теперь правую часть равенства (ЄЄ). Ясно, чтоЅ x-kЅ Ј m на отрезке [0;m]. Поэтому на этом отрезке

Тогда:

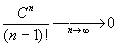
где константы C0 и C1 не зависят от n. Известно, что

поэтому, при достаточно больших n, правая часть (ЄЄ) меньше единицы и равенство (ЄЄ) невозможно.

Ё

После прочтения такого серьезного доказательства я советую вам отдохнуть. Впереди предстоят еще более серьезные испытания.

NS СКАЗКА

Жила была курочка Ряба и были у нее Дед да Баба.
Поднатужилась курочка как-то и снесла эллипсоид. Да не простой, а вращения.
Бил Дед эллипсоид, бил, да не разбил - так и помер.
Баба била, била - лишь фокус сместила.
Мышка бежала, хвостиком махнула, но промахнулась и Бабу ранила.
Плачет покойный Дед, плачет контуженная Баба, а курочка им в ответ кудахчет: "Кудах-тах-тах! Кудах-тах-тах!" - утешает.

Hosted by uCoz