Home
Contents

Кратко о теории чисел.

Prev Page Next Page
 
§1. Основные понятия и теоремы
Деление с остатком
Наибольший общий делитель
Взаимно простые числа
Алгоритм Евклида
Линейные диофантовы уравнения с двумя неизвестными
Простые числа и
§2. Цепные дроби
Разложение чисел в цепные дроби
Вычисление подходящих дробей
Свойства подходящих дробей
Континуанты. Анализ алгоритма Евклида
Еще кое-что о цепных дробях (приближение чисел, периодичность, теорема Эрмита)
§3. Важнейшие функции в теории чисел
Целая и дробная часть
Мультипликативные функции
Примеры мультипликативных функций
z-функция Римана
§4. Теория сравнений
Определения и простейшие свойства
Полная и приведенная системы вычетов
Теорема Эйлера и теорема Ферма
Сравнения первой степени
Сравнения любой степени по простому модулю
Сравнения любой степени по составному модулю
Сравнения второй степени. Символ Лежандра
Дальнейшие свойства символа Лежандра. Закон взаимности Гаусса
§5. Трансцендентные числа
Мера и категория на прямой
Числа Лиувилля
Число e ~= 2,718281828459045...
Число pi ~= 3,141592653589793...
Трансцендентность значений функции e в степени z
Литература

§5. Трансцендентные числа.


Пункт 27. Число π≈3,141592653589793...

В этом пункте я расскажу вам правдивую историю про отношение длины окружности к ее диаметру, которое Эйлер обозначил греческой буквой p, а еще Архимед, почти тысячу триста лет назад, вычислил, дойдя в приближении длины окружности правильными многоугольниками аж до 96 сторон, что

т.е. 3,1409<p <3,1429. Среднее арифметическое верхней и нижней границ, найденных Архимедом, дает p=3,14159... Очень неплохо для древнего грека!

Истинную природу числа p долгое время не удавалось распознать. Эйлер, занимаясь знаменитой древнегреческой задачей о квадратуре круга (или, что эквивалентно, задачей построения циркулем и линейкой отрезка длины p ), впервые высказал предположение, что число p не удовлетворяет никакому алгебраическому уравнению с целыми коэффициентами, но доказать этого он не смог. Лишь в 1882 году, после работ Лиувилля и Эрмита, немецкий математик Фердинанд Линдеман (1852 – 1939) весьма изощренными методами доказал трансцендентность p показав, тем самым, неразрешимость задачи о квадратуре круга. Но давайте не будем забегать вперед и пойдем, как и в предыдущем пункте, по порядку.

Теорема 1. Число p иррационально.

Доказательство. Сначала докажем аналог тождества Эрмита из леммы 2 предыдущего пункта.

Пусть f(x) – произвольный многочлен с действительными коэффициентами, F(x)=f(x)-fІ(x)+f(4)(x)-f(6)(x)+... - многочлен из производных f(x) четного порядка (очевидно, ряд для F(x) содержит лишь конечное число ненулевых членов). Очевидно:

d/dx(Fў(x)sinx - F(x)cosx)=(FІ(x)+F(x))sinx=f(x)sinx.

Проинтегрируем последнее тождество:

(Є)

Это и есть тождество Эрмита с функцией sinx, справедливое для любого многочлена f(x).

Предположим, что p=a/b; a,bОN; (a,b)=1. Положим в тождестве Эрмита (Є)

,

где n ОN - достаточно большое число, которое определим несколько позже. Утверждается, что при таком выборе многочлена f(x), мы, как и в теореме 2 предыдущего пункта, снова прийдем к противоречию. Именно: покажем, что интеграл в (Є) будет по модулю меньше единицы, а сумма F(0)=F(p) окажется прекрасным целым числом.

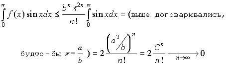
Возьмемся сначала за интеграл. Очевидно, что f(x)sinx>0 на интервале (0,p), поэтому . Далее, на этом же интервале, xn(p-x)nЈp2n, следовательно:

Ясно, что можно взять nОN настолько большим, что наш интеграл станет меньше единицы.

Обратим теперь свой взор на правую часть тождества (Є). Многочлен f(x) имеет число 0 корнем кратности n, следовательно

f(0)=fў(0)=fІ(0)=...=f(n-1)(0)=0.

Рассмотрим похожий на f(x) многочлен j(x)=bnxn(p-x)n с целыми коэффициентами. По лемме 1 из предыдущего пункта, все коэффициенты l-ой производной j(l)(x) делятся на l! , следовательно, все производные многочлена f(x) порядка lі n имеют целые коэффициенты. Это значит, что f (n)(0),f(n+1)(0),...,f(2n)(0) - целые числа. Итак, f(l)(0) - целое число для любого l=0,1,2,... . Очевидно, что f(x)=f(p-x). Поэтому f(l)(x)=(-1)lf(l)(p-x), т.е. f(l)(p)=(-1)lf(l)(0) - тоже целое число для любого l=0,1,2,... .

Итак, F(0)+F(p) является целым числом, поэтому равенство

невозможно, что и завершает доказательство теоремы.

Ё

Смотрите, мы затратили на доказательство только иррациональности числа p почти столько же усилий, сколько на доказательство трансцендентности числа е. Это обстоятельство не должно вызывать удивления, особенно если вспомнить мои досужие рассуждения из предыдущего пункта о скорости приближения чисел p и е рациональными частичными суммами. Однако, я все равно предпочитаю относиться к числу p с суеверным почтением и верить, что в p заложена какая-то страшная тайна, разгадать которую можно в тридевятом царстве, в тридесятом государстве, только зная волшебные слова и истоптав тысячу кованых кроссовок системы Ади Даслера.

Теорема 2 (Линдеман, 1882) Число p трансцендентно.

Доказательство. Приводимое здесь доказательство потребует некоторых сведений из теории функций комплексного переменного, одного дополнительного определения, и весьма серьезных усилий для понимания. Но волка бояться - в лес не ходить.

Мы знаем, что epi помним тождество Эрмита

выполненное для любого многочлена f(x), при этом,
F(x)=f(x)+fў(x)+fІ(x)+...+f(k)(x)

Определение. Пусть a - алгебраическое число. Тогда существует единственный неприводимый многочлен f(x)с рациональными коэффициентами и старшим коэффициентом, равным единице, такой, что f(a)=0. Такой многочлен называется минимальным многочленом числа a, степень f(x) называется степенью числа a (обозначение: dega), все корни минимального многочлена числа a называются числами, сопряженными с a.

Пример. i - мнимое алгебраическое число, degi=2, f(x)=x2+1 - минимальный многочлен, {-i;i} - числа, сопряженные с числом i .

Нетрудно доказать, что произведение двух алгебраических чисел снова будет алгебраическим числом. Действительно, пусть a1, b1 алгебраические числа, dega1=n, degb1=m; a1,a2,...,an; b1,b2,...,bmсопряженные числа к a1 и b1 соответственно. Рассмотрим многочлен

Его коэффициенты суть основные симметрические многочлены от корней aibi (теорема Виета). Значит они являются симметрическими многочленами от a1,a2,...,an; b1,b2,...,bm (но уже не обязательно основными). Каждый симметрический многочлен от a1,a2,...,an; b1,b2,...,bm является комбинацией основных симметрических многочленов от a1,a2,...,an; b1,b2,...,bm (основная теорема о симметрических многочленах). Каждый основной симметрический многочлен от a1,a2,...,an; b1,b2,...,bm является комбинацией симметрических многочленов отдельно от a1,a2,...,an и многочленов отb1,b2,...,bm. Последние, в свою очередь, построены из основных симметрических многочленов от a1,a2,...,an и от b1,b2,...,bm, которые являются рациональными числами - коэффициентами минимальных многочленов чисел a1 и b1 соответственно. Это значит, что коэффициенты многочлена , корнем которого является a1b1, суть рациональные числа и a1b1 - алгебраическое число степени не выше mn.

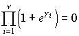
Доказательство теоремы Линдемана в математическом мире принято вести от противного. Ну пусть p - алгебраическое число. Тогда число g=pЧi тоже алгебраическое, как произведение двух алгебраических чисел. Пусть degg=v; g1,g2,...,gv - сопряженные числа. Имеем eg+1=0, следовательно:

Я не поленюсь и в этом произведении раскрою скобки:

Показатели над буквой есправа бывают отличными от нуля (например, при e1, e2=e3=...=ev=0 и равными нулю (например, при e1= e2=e3=...=ev=0). Пусть среди этих показателей ровно m отлично от нуля, а остальные a=2v-m равны нулю, aі1. Обозначим отличные от нуля показатели через a1,a2,...,am и получим равенство:

Покажем, что a1,a2,...,am - в точности все корни некоторого многочлена Y(x) с целыми коэффициентами (разумеется, степень Y(x) равна m). Рассмотрим вспомогательный многочлен:

Поглядим на многочлен j(x) как на симметрический многочлен от g1,g2,...,gv. Он, конечно, представим в виде комбинации основных симметрических многочленов от g1,g2,...,gv, правда, коэффициенты в таком представлении будут зависеть от х и e1,e2,...,ev (Ну и пусть зависят, все мы от кого-нибудь зависим.) Но основные симметрические многочлены от g1,g2,...,gv есть коэффициенты минимального многочлена числа g , т.е. являются рациональными числами. Следовательно, j(x), как многочлен от х, имеет рациональные коэффициенты а многочлен rj(x), где r - общий знаменатель коэффициентов j(x), имеет целые коэффициенты. Корни j(x) суть числа a1,a2,...,am и число 0, которое является корнем кратности а. Поэтому многочлен имеет целые коэффициенты, а его корни есть в точности числа a1,a2,...,am. Запомним этот многочлен, ибо именно его (правда чуть-чуть искалеченного) мы будем подставлять в тождество Эрмита для получения противоречия.

Положим в тождестве Эрмита

,

последовательно x=a1,a2,...,am и сложим все получившиеся равенства:

,

т.е. (помним, что
)

, (ЄЄ)

Далее все будет катиться как по моторному маслу Shell, точнее, как в доказательстве трансцендентности числа е . Тождество (ЄЄ) справедливо для любого многочлена f(x). Положим:

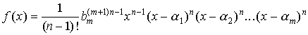
,

где Y(x)=(r/xa)j(x)=bmxm+...+b1x+b0, bm>0, b00, - тот самый многочлен с целыми коэффициентами и корнями a1,a2,...,am, который мы построили выше а bm=r его старший коэффициент. Видно, что:

,

а число nО N мы определим позже и оно будет достаточно большим.

Сначала рассмотрим левую часть тождества (ЄЄ). Рассуждая как при доказательстве трансцендентности числа е , получим:

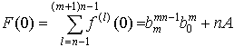
f(l)(0)=0, l=0,1,...,n-2;
f(n-1)(0)=bmmn-1b0m;

,

где А – некоторое подходящее целое число. Далее, так как ak корень f(x) кратности n, то

f(l)(ak)=0, l=0,1,...,n-1, k=1,...,m.

По лемме 1 из предыдущего пункта, все коэффициенты l-ой производной многочлена xn-1Yn(x) делятся на l!. Поэтому, при lіn, многочлен f(l)(x) имеет целые коэффициенты, делящиеся на nbmmn-1. Значит:

,

где Ф(z) – некоторый многочлен с целыми коэффициентами.

Сумма является симметрическим многочленом от a1,a2,...,am, следовательно она представляется в виде комбинации основных симметрических многочленов от a1,a2,...,am. Поскольку основные симметрические многочлены от a1,a2,...,am суть целые числа (коэффициенты Y(x)), то сумма является целым числом и это число делится на n. Значит, левая часть тождества (ЄЄ) есть

,

где В - подходящее целое число.

Если теперь взять nО N таким, что

,

(или, на худой конец, просто n>ab0mbmmn-1), то левая часть (ЄЄ) окажется целым числом, не делящимся на n, т.е. отличным от нуля целым числом. Значит,

,

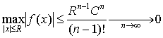
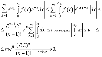
Оценим теперь правую часть равенства (ЄЄ). Пусть все точки a1,a2,...,am содержатся в круге ЅxЅЈR. Обозначим

.

Ясно, что С не зависит от n. Ну тогда

.

Значит, правая часть (ЄЄ)

.

Таким образом, при больших nО N, правая часть (ЄЄ) меньше 1 и равенство (ЄЄ) невозможно.

Ё

Поздравляю Вас, дорогие товарищи, с прочтением предпоследнего пункта этой книжки.

Задачки

1. Докажите, что число p2 иррационально.

2. Докажите, что число p2 не является квадратичной иррациональностью.

3. Докажите, что число p2 трансцендентно.

NS НОВОСТИ

Специально для советских читателей Анн и Серж Голон издали новую серию романов об Анжелике: "Анжелика в Октябре", "Анжелика и печник", "Анжелика у прямого провода".

Новым чемпионом мира по шахматам стал боксер-тяжеловес Майк Тайсон. В недолгом поединке он отобрал шахматную корону у Гарри Каспарова.

В издательстве "Плоды просвещения" вышел учебник "На черта тебе геометрия?" с иллюстрацией Казимира Малевича.

Знаете ли вы, что неточность попадания снаряда можно компенсировать его диаметром?

Оптическая новость. В стереокинотеатре "Октябрь" встретились адмирал Нельсон и фельдмаршал Кутузов.

Hosted by uCoz