Home
Contents

Кратко о теории чисел.

Prev Page Next Page
 
§1. Основные понятия и теоремы
Деление с остатком
Наибольший общий делитель
Взаимно простые числа
Алгоритм Евклида
Линейные диофантовы уравнения с двумя неизвестными
Простые числа и
§2. Цепные дроби
Разложение чисел в цепные дроби
Вычисление подходящих дробей
Свойства подходящих дробей
Континуанты. Анализ алгоритма Евклида
Еще кое-что о цепных дробях (приближение чисел, периодичность, теорема Эрмита)
§3. Важнейшие функции в теории чисел
Целая и дробная часть
Мультипликативные функции
Примеры мультипликативных функций
z-функция Римана
§4. Теория сравнений
Определения и простейшие свойства
Полная и приведенная системы вычетов
Теорема Эйлера и теорема Ферма
Сравнения первой степени
Сравнения любой степени по простому модулю
Сравнения любой степени по составному модулю
Сравнения второй степени. Символ Лежандра
Дальнейшие свойства символа Лежандра. Закон взаимности Гаусса
§5. Трансцендентные числа
Мера и категория на прямой
Числа Лиувилля
Число e ~= 2,718281828459045...
Число pi ~= 3,141592653589793...
Трансцендентность значений функции e в степени z
Литература

§5. Трансцендентные числа.


Пункт 28. Трансцендентность значений функции ez.

Последний пункт нашей книжки имеет номер 28 - второе совершенное число и посвящен обсуждению одного замечательного свойства показательной функции.

Теорема (Линдеман). Если x  - алгебраическое число и x№0 , то число ex - трансцендентно.

Поразительно, правда? Точки координатной плоскости с рациональными координатами всюду плотно заполняют эту плоскость, точки с обеими алгебраическими координатами (алгебраические точки) - тем более. Однако сплошная и ровная кривая - график функции y=ex , не дергаясь из стороны в сторону, проходит спокойно и величаво между всеми алгебраическими точками, случайно раздавив только одну - (0, 1).

Из теоремы Линдемана также вытекает, например, что число ln 2 – трансцендентно, ведь 2=eln 2, а число 2 - алгебраическое. Оказывается, мы еще в средней школе видели массу трансцендентных чисел - ln 2, ln 3, ln ( 5Ц27) и т.п. – и совершенно не подозревали об этом. От нас скрывали правду! Это вопиющее нарушение прав человека и, в частности, ребенка. ООН! SOS! OON! СОС! Но прекратим орать на разных языках и перейдем к делу.

Доказательство теоремы Линдемана можно провести с помощью тождества Эрмита, аналогично тому, как была доказана трансцендентность p, с некоторыми усложнениями в преобразованиях. Именно так ее и доказывал сам Линдеман. Однако я пойду другим путем, ибо хочу познакомить читателей с основными идеями советского математика А. О. Гельфонда, приведшими в середине ХХ века к решению Седьмой проблемы Гильберта - проблеме о природе чисел вида ab, где a,b - алгебраические и b - иррационально. Чтобы не дразнить ваше любопытство, скажу сразу, что числа вида ab, где a,b - алгебраические и b - иррационально (например, 2Ц2), являются трансцендентными, но мы этого доказывать не будем, так как от этого наша маленькая книжка по теории чисел может сразу превратиться в большую.

Доказательство трансцендентности значений показательной функции, предложенное Гельфондом, основывается на применении интерполяционных методов. В этом доказательстве, с помощью разложения функции ez в интерполяционный ряд Ньютона, строится последовательность многочленов Pn(x,y) c целыми коэффициентами такая, что |Pn(x,ex)| достаточно быстро убывает с ростом n . Однако несложно получить оценку снизу значения произвольного многочлена с целыми коэффициентами от двух произвольных алгебраических чисел, поэтому предположение об алгебраичности чисел x и ex породит противоречие между верхней и нижней оценками. Далее будут представлены три основных этапа доказательства Гельфонда: построение ряда Ньютона функции ez, построение многочленов Pn(x,y) и их оценка сверху, оценка |Pn(x,ex)| снизу и сопоставление полученных оценок. Приступим.

Этап 1. Интерполяционный ряд Ньютона функции ez.

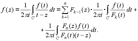
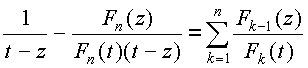
Пусть функция f(z) аналитическая в области D, точки z1,z2,...,znОD - фиксированы и, быть может, среди них есть совпадающие. Положим

F0(t)=1, Fk=(t-z1)(t-z2)...(t-zk); k=1,2,...,n.

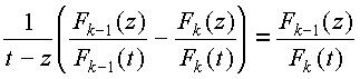
Пусть zОD. При каждом k=1,2,...,n выполнено:

Умножим это тождество на Fk-1(z)/Fk-1(t). Получим:

.

Сложим эти тождества:

или

     (Є)

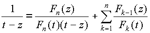
Пусть С - простой замкнутый контур в D, точки z1,z2,...,znОD лежат внутри этого контура. Умножим тождество (Є) на (1/ 2pi)f(t) и проинтегрируем, пользуясь формулой Коши:

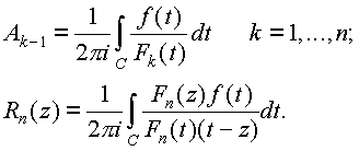
Обозначим:

В этих обозначениях:


zОD

– интерполяционная формула Ньютона для функции f(z) с узлами интерполяции z1,z2,...,zn. Если же z1,z2,...,zn,... - бесконечная последовательность узлов, а
для всех zОD, то

– интерполяционный ряд Ньютона для функции f(z) с узлами интерполяции z1,z2,...,zn,.... Нетрудно подсечь, что при z1=z2=...=zn=... из ряда Ньютона получается ряд Тейлора.

Пусть mОN. Хитрый Гельфонд взял за узлы интерполяции бесконечную периодическую последовательность периода m:

1, 2, 3, ..., m-1, m, 1, 2, ..., m-1, m, 1, 2, ...

т.е.

zn=n для n=1,2,...,m,

zn+lm = zn.

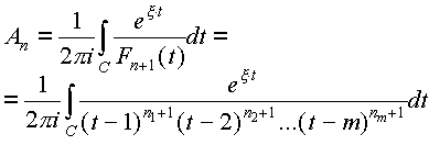
Разложим функцию f(z)=exЧz, где C, x№0, в ряд Ньютона с такими узлами интерполяции. Запишем формулу Ньютона:

где:

- остаточный член. Пусть R – любое число, такое, что R > m. Оценим остаточный член при n > 2R в круге |z|ЈR. Пусть С - окружность |t|=n. Имеем:

1ЈzkЈm,

следовательно,

(1)

для всех z из круга |z|ЈR. Далее, т.к. n>2R>2m, на окружности |t|=n имеем:

|t-zk|і|t|-|zk|іn-m> n/2

|t-z|і|t|-|z|іn-R> n/2

значит,

(2)

Пользуясь неравенствами (1), (2), и неравенством |et|Јe|x|Чn, оценим интеграл:

Число R может быть выбрано сколь угодно большим, поэтому при любом комплексном z, функция f(z)=ezпредставляется в виде суммы ряда Ньютона с целочисленной периодической последовательностью узлов интерполяции z1,z2,...,zn,...

Итак,

где


n=0,1,2,...

Выбирая за контур С окружность |t|=n, где n>2m, аналогично оценке остаточного члена в формуле Ньютона, получаем оценку сверху для коэффициентов ряда:

,

где число g>0 и зависит только от x. Этап 1 завершен.

Этап 2. Построение многочленов Pn(x,y) и их оценка сверху.

Поскольку последовательность узлов интерполяции периодическая, то в произведении

Fn+1(t)=(t-1)(t-2)...(t-zn+1)

есть повторяющиеся сомножители. Обозначим число сомножителей вида (t-k) через nk+1. Тогда это произведение можно переписать так (подразумевается, что n>m):

.

Ясно, что n1+n2+...+nm+m=n+1, и nk зависят от n . Кроме того, так уж устроена последовательность узлов интерполяции, что n1-1Ј nmЈ nm-1Ј ...Ј n1Ј n/m . Значит, коэффициенты ряда Ньютона можно записать так:

.

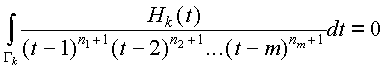
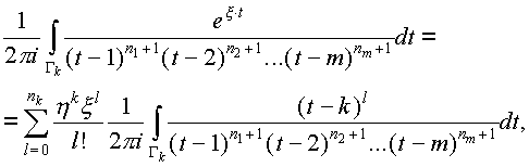
Окружим каждый узел интерполяции k (1Ј kЈm) окружностью Гk с центром в точке k и радиуса, например, 1/3. Эти окружности не пересекаются и лежат внутри контура С. Если зафиксировать на них положительное направление обхода, то, по теореме Коши,

.

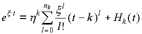
Обозначим h=ex. Разложим для каждого k (1ЈkЈm) функцию e t в ряд Тейлора по степеням (t-k):

.

Тогда

,

где Hk(t) – остаточный член, являющийся целой функцией, имеющей в точке t=k нуль порядка nk+1. Это значит, что

.

Тогда

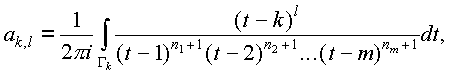
т.е. суммировать можно только до nk. Как мы лихо обрезали ряд Тейлора, несмотря на то, что Тейлор не ортодокс! Обозначим при каждом k (1ЈkЈm):


l=0,1,...,nk.
   (§)

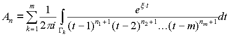
В этих новых обозначениях коэффициент ряда Ньютона выглядит так:

.

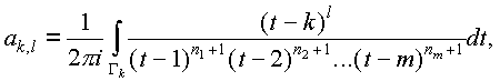
Пусть М - наименьшее общее кратное чисел 1,2,...,m. Сейчас я докажу, что все числа ak,l в коэффициенте An рациональные, а числа Mnak,l будут целыми. Число ak,l равно вычету в точке t=k подынтегральной функции из интеграла (§), т.е. равно коэффициенту при (t-k)-1 в разложении этой функции в ряд Лорана по степеням (t-k). Стиснем зубы и найдем это разложение.

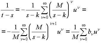
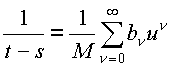
Пусть sОN, 1ЈsЈm, sk. Имеем:

.

Если положить t-k=Mu и разложить функцию 1/(t-s) в ряд по степеням u, то получится:

,

где bn=-(M/ s-k)n+1. Этот ряд абсолютно сходится в круге |u| < |s-k|/M.

Очевидно, что числа bn=-(M/ s-k)n+1 целые, т.к. М– наименьшее общее кратное чисел 1,2,...,m, а число |s-k| – целое и 1Ј|s-k|Јm-1.

Теперь, для того, чтобы получилось нечто похожее на подынтегральное выражение из строчки (§), надо перемножать ряды

в подходящих степенях и при разных s. Произведение

есть кусок подынтегрального выражения в (§) , оно отличается от самого подынтегрального выражения отсутствием множителя (t-k)l / (t-k)nk+1 = (t-k)l-nk-1. Стало быть, это произведение содержит (n1+1)+...+(nk-1+1)+(nk+1+1)+...+(nm+1)=n-nk сомножителей вида 1 / t-s. Посчитаем, наконец, это произведение:

,

где все cn, очевидно, целые числа, т.к. они есть суммы произведений целых bn (так уж ряды перемножаются, тут ничего не попишешь). Тогда подынтегральная функция в (§) равна

Это и есть искомое разложение в ряд Лорана. Нетрудно сообразить, что показатель n+l-nk-1 равен -1 при n=nk-l. Значит, искомый вычет есть

ak,l = cnk-l / Mn-l,

и является рациональным числом. Ну тогда, бесспорно, число Mnak,l - целое.

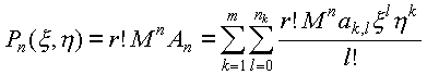
Далее все просто. Обратим снова свой взор на коэффициенты ряда Ньютона:

, h=ex,

Если обозначить через r=max nk=n1, 1ЈkЈm, то, очевидно, выражение

будет многочленом с целыми коэффициентами от двух переменных x и h, его степень по переменной x не превосходит r, а степень по переменной h не превосходит m. Это и есть те самые многочлены с целыми коэффициентами, которые мы запланировали построить на втором этапе нашего доказательства.

Оценим высоту Hn (максимум среди абсолютных величин коэффициентов) многочлена Pn. Помним, что

l=0,1,...,nk, k=1,2,...,m

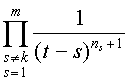
Поскольку tОГk и радиус Гk мы взяли 1/3, то |t-k| < 1/2, а при sk, |t-s| > 1/2. Значит,

и высота Hn многочлена Pn удовлетворяет неравенству

Hn<r!(2M)r.

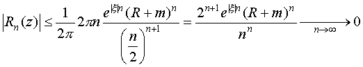
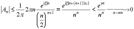
Оценим, наконец, |Pn(x,h)| сверху. В конце первого этапа мы получили оценку:

|An| < egn / nn = egn-nln n.

Поскольку Pn(x,h)=r!MnAn, а rЈn/m, то

|Pn(x,h)|<egn-nln n+nln M+rln r<e-(m-1 / m)nln n+Cn,

где С>0 - константа, не зависящая от n.

Этап 3. Оценка |Pn(x,h)| снизу.

Пусть a1,a2,...,am – алгебраические числа, Q – поле рациональных чисел, K=Q[a1,a2,...,am] - алгебраическое расширение поля Q, h - степень этого алгебраического расширения.

Напомню, что степенью алгебраического расширения называется степень примитивного минимального многочлена, корнями которого это расширение порождается. Это означает, что у каждого порождающего элемента поля K=Q[a1,a2,...,am] (примитивного элемента из K) имеется h штук сопряженных. В алгебраическом поле K=Q[a1,a2,...,am] степени h максимальное число линейно независимых над Q элементов равно h .

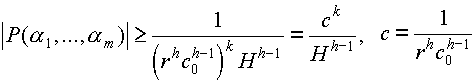
Сейчас мы докажем основной факт третьего этапа: Для любого многочлена с целыми коэффициентами P(z1,z2,...,zm) степени k и высоты H , существует постоянная c=c(a1,a2,...,am)>0 такая, что:

либо |P(a1,a2,...,am)| і ck/Hh-1,

либо P(a1,a2,...,am)=0.

Таким образом, алгебраические числа a1,a2,...,am произвольный многочлен с целыми коэффициентами либо обращают в ноль (в этом случае говорят, что числа a1,a2,...,am являются алгебраически зависимыми), либо значение этого многочлена находится достаточно далеко от нуля.

Пусть ai=ai(1),ai(2),...,ai(h) – все сопряженные с ai в поле K=Q[a1,a2,...,am], 1ЈiЈm. Введем два обозначения. Через обозначим размер алгебраического числа ai, – максимальный из модулей чисел, сопряженных с ai. Через ||ai||K обозначим норму алгебраического числа ai в поле K, ||ai||K=ai(1),ai(2),...,ai(h) – произведение всех сопряженных с ai. Проверьте сами, что ||ai||K действительно удовлетворяет всем аксиомам нормы.

Еще одно замечание. Целым алгебраическим числом называется алгебраическое число, минимальный многочлен которого (у него старший коэффициент всегда единица) имеет целые коэффициенты. Так, например, Ц3 и 1+ Ц5 / 2- целые алгебраические числа, а - Ц3 / 2 не целое, т.к. их минимальные многочлены суть, соответственно, x2-3, x2-x-1 и x2 - 3/4. Если a - не целое алгебраическое число, то всегда можно подобрать некоторое натуральное число r такое, что ra будет корнем многочлена с целыми коэффициентами и старшим коэффициентом 1, т.е. будет целым алгебраическим числом. Множество целых алгебраических чисел поля K обозначим через ZK. Несложно проверить, что ZK - кольцо и всегда ZМZK.

Приступим к доказательству основного факта третьего этапа. Предположим, что P(a1,a2,...,am)0. Подберем натуральное число r так, что raОZK, i=1,...,m. Так как многочлен Р степени k c целыми коэффициентами, то

b=rkP(a1,a2,...,am)ОZK, b№0.

Возможны два случая.

Случай 1. h=1 (т.е. K=Q ). Тогда

|b|=rk|P(a1,a2,...,am)|і1, |P(a1,a2,...,am)|і1 / rk.

Случай 2. h > 1. Обозначим

Aj=P(a1(j),a2(j),...,am(j)), j=1,...,h.

Числа A1,...,Ah будут сопряженными в поле K. По свойствам нормы

|||b||K|=|||rkA1||K|=rkh|A1A2...Ah|і1.

Отсюда вытекает, что

.

Если


ck1,...,kmОZ,

то

.

Ну, тогда из двух последних неравенств следует

,

а, собственно, это и требовалось доказать.

Наступил тот славный момент, когда у нас все готово для того, чтобы достойно завершить доказательство теоремы Линдемана. Давайте проделаем это. От противного. Ну пусть x№0 и h=ex - алгебраические числа, h - степень алгебраического расширения K=Q[x,h], h>1. Разложим ez в ряд Ньютона с периодической целочисленной последовательностью узлов интерполяции

1,2,...,m-1,m,1,2,...,m-1,m,1,2,... ,

где m=h+1. Построим наши пресловутые многочлены Pn(x,h). Мы только что доказали, что либо Pn(x,h)=0, либо

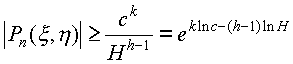
где (вспоминаем устройство многочленов Pn(x,h). Мы только что доказали, что либо Pn(x,h)=r!MnAn и оценку их высоты из второго этапа):

kЈr+m. HЈr ln r+n ln (2M), rЈn/m.

Отсюда моментально получается, что:

где D>0 - некоторая подходящая константа. Последнее неравенство и неравенство

,

полученное в конце второго этапа, при достаточно больших n противоречивы, значит, при всех достаточно больших n остается только возможность Pn(x,h)=r!MnAn. Это означает, что, начиная с некоторого номера, все An=0, т.е. ряд Ньютона функции ez содержит лишь конечное число членов и функция ez является многочленом. Но этого не может быть потому, что не может быть никогда. (Например, потому, что функция ez периодическая, а любой нетривиальный многочлен - нет). Этим и заканчивается доказательство теоремы Линдемана.

Ё

Закончился последний пункт нашей небольшой книжки по теории чисел, но я не буду говорить здесь никаких прощальных слов, ибо, как всегда во всех сказках, самое интересное только еще начинается. Идите вперед! Изучайте теорию чисел и она оправдает ваши надежды. Числа не подвержены инфляции, политическим и экономическим потрясениям, коррупции и обману. Математика не может приносить разочарований, она приносит только восхищение окружающим миром и человеческим разумом. Я желаю вам - Будьте счастливы!

Hosted by uCoz